Меню по разделу
+
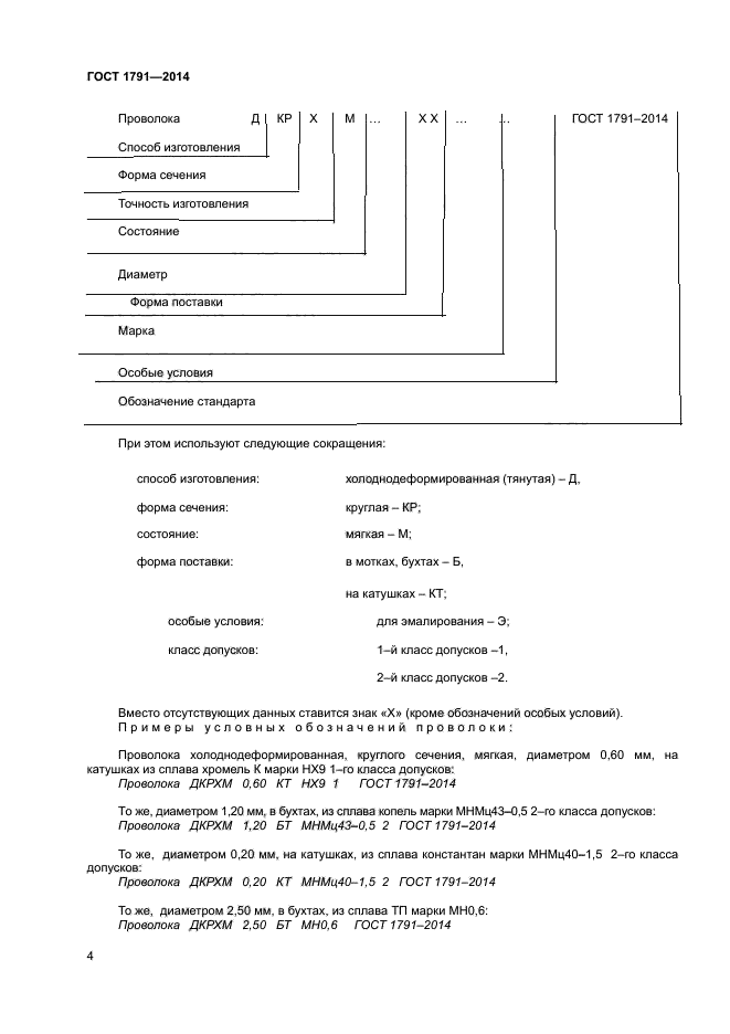
Настоящий стандарт распространяется на проволоку круглого сечения из никелевого и медно-никелевых сплавов, предназначенную для изготовления удлиняющих проводов к термоэлектрическим преобразователям: хромель-копель в диапазоне от минус 50 °С до плюс 200 °С, хромель-алюмель и платинородий-платина в диапазоне от 0 °С до 100 °С.
Требования настоящего стандарта являются обязательными
| Обозначение: | ГОСТ 1791-2014 |
| Статус: | действующий |
| Название рус.: | Проволока из никелевого и медно-никелевых сплавов для удлиняющих проводов к термоэлектрическим преобразователям. Технические условия |
| Название англ.: | Nickel and copper-nickel alloys wire for extension leads for thermoelectric temperature transducers. Specifications |
| Дата актуализации текста: | 06.04.2015 |
| Дата актуализации описания: | 10.08.2017 |
| Дата издания: | 02.03.2015 |
| Дата введения в действие: | 01.09.2015 |
| Дата последнего изменения: | 17.07.2017 |
| Область и условия применения: | Настоящий стандарт распространяется на проволоку круглого сечения из никелевого и медно-никелевых сплавов, предназначенную для изготовления удлиняющих проводов к термоэлектрическим преобразователям: хромель-копель в диапазоне от минус 50 °С до плюс 200 °С, хромель-алюмель и платинородий-платина в диапазоне от 0 °С до 100 °С.
Требования настоящего стандарта являются обязательными |
| Страниц: | 15 |
| Ссылки для скачивания: |

