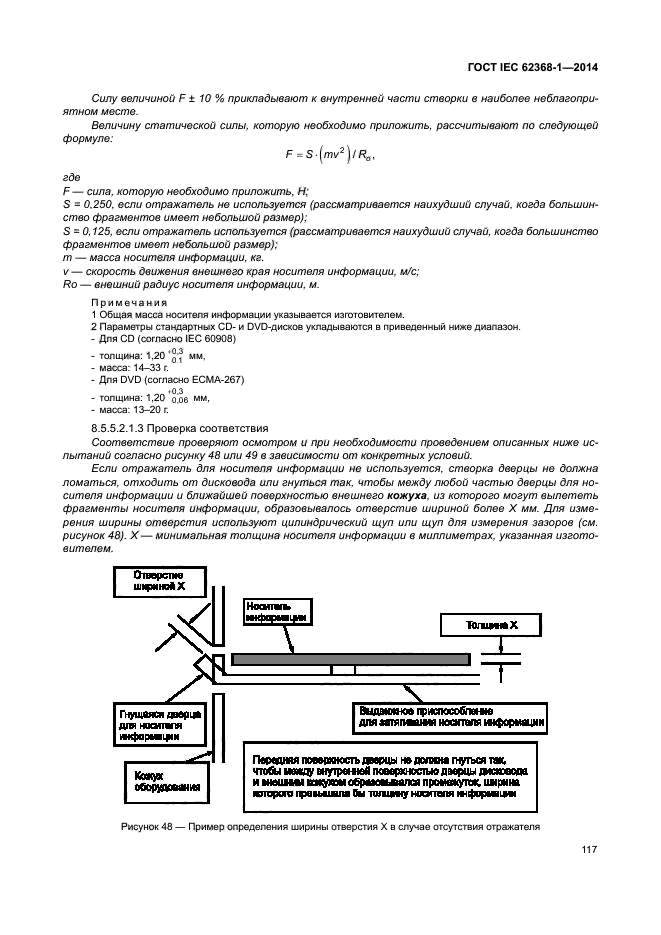
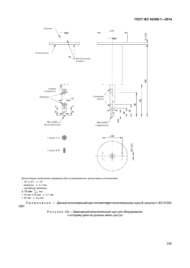
Меню
Навигация
Novatika
Novatika
Первая линия

ГОСТ IEC 62368-1-2014 Аудио-, видео- аппаратура, оборудование информационных технологий и техники связи. Часть 1. Требования безопасности

Данная часть стандарта IEC 62368 посвящена безопасности электронной аудио/видеоаппаратуры и оборудования информационных и коммуникационных технологий, а также техники для решения коммерческих задач и офисной техники с номинальным напряжением, не превышающим 600 В. В настоящий стандарт не входят требования к производительности или функциональным характеристикам оборудования.
Настоящий стандарт также применяют к компонентам и узлам этого оборудования. Такие компоненты и узлы необязательно должны соответствовать каждому требованию настоящего стандарта, в отличие от оборудования в сборе, включающего эти компоненты и узлы.
Настоящий стандарт не распространяется на оборудование, предназначенное для эксплуатации в местах с повышенной влажностью. Однако к такому оборудованию могут относиться дополнительные требования.
Настоящий стандарт не распространяется на оборудование, предназначенное для эксплуатации на открытом воздухе.
Настоящий стандарт не распространяется на оборудование, предназначенное для эксплуатации в местах с повышенной влажностью. Однако к такому оборудованию могут относиться дополнительные требования.
Настоящий стандарт не распространяется на оборудование, предназначенное для эксплуатации на открытом воздухе

Обозначение: ГОСТ IEC 62368-1-2014
Статус: действующий
Название рус.: Аудио-, видео- аппаратура, оборудование информационных технологий и техники связи. Часть 1. Требования безопасности
Название англ.: Audio/video, information and communication technology equipment. Part 1. Safety requirements
Дата актуализации текста: 07.08.2016
Дата актуализации описания: 10.08.2017
Дата издания: 15.12.2015
Дата введения в действие: 01.09.2015
Дата последнего изменения: 17.07.2017
Область и условия применения: Данная часть стандарта IEC 62368 посвящена безопасности электронной аудио/видеоаппаратуры и оборудования информационных и коммуникационных технологий, а также техники для решения коммерческих задач и офисной техники с номинальным напряжением, не превышающим 600 В. В настоящий стандарт не входят требования к производительности или функциональным характеристикам оборудования.
Настоящий стандарт также применяют к компонентам и узлам этого оборудования. Такие компоненты и узлы необязательно должны соответствовать каждому требованию настоящего стандарта, в отличие от оборудования в сборе, включающего эти компоненты и узлы.
Настоящий стандарт не распространяется на оборудование, предназначенное для эксплуатации в местах с повышенной влажностью. Однако к такому оборудованию могут относиться дополнительные требования.
Настоящий стандарт не распространяется на оборудование, предназначенное для эксплуатации на открытом воздухе.
Настоящий стандарт не распространяется на оборудование, предназначенное для эксплуатации в местах с повышенной влажностью. Однако к такому оборудованию могут относиться дополнительные требования.
Настоящий стандарт не распространяется на оборудование, предназначенное для эксплуатации на открытом воздухе
Страниц: 262
Ссылки для скачивания: