Меню по разделу
+
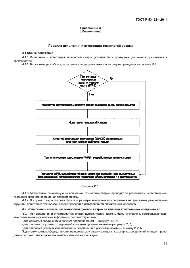
Настоящий стандарт распространяется на проектирование, выполнение и контроль качества сварных соединений и сварных узлов в стальных конструкциях железнодорожного подвижного состава климатических исполнений по ГОСТ 15150
| Обозначение: | ГОСТ Р 53192-2014 |
| Статус: | отменён |
| Название рус.: | Соединения сварные в стальных конструкциях железнодорожного подвижного состава. Требования к проектированию, выполнению и контролю качества |
| Дата актуализации текста: | 15.10.2015 |
| Дата актуализации описания: | 10.08.2017 |
| Дата издания: | 23.07.2015 |
| Дата введения в действие: | 01.05.2015 |
| Дата последнего изменения: | 13.07.2017 |
| Дата окончания срока действия: | 30.06.2017 |
| Область и условия применения: | Настоящий стандарт распространяется на проектирование, выполнение и контроль качества сварных соединений и сварных узлов в стальных конструкциях железнодорожного подвижного состава климатических исполнений по ГОСТ 15150 |
| Список изменений: | №0 от 30.06.2017 (рег. 17.11.2016) «Текстовое изменение; Изменено заглавие» |
| Страниц: | 50 |
| Ссылки для скачивания: |

