Меню по разделу
+
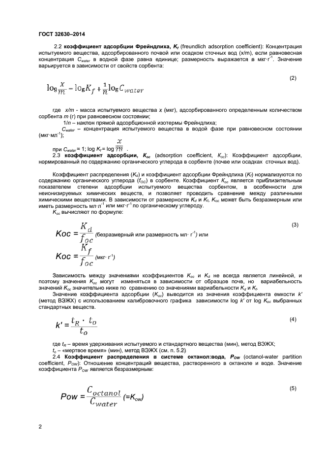
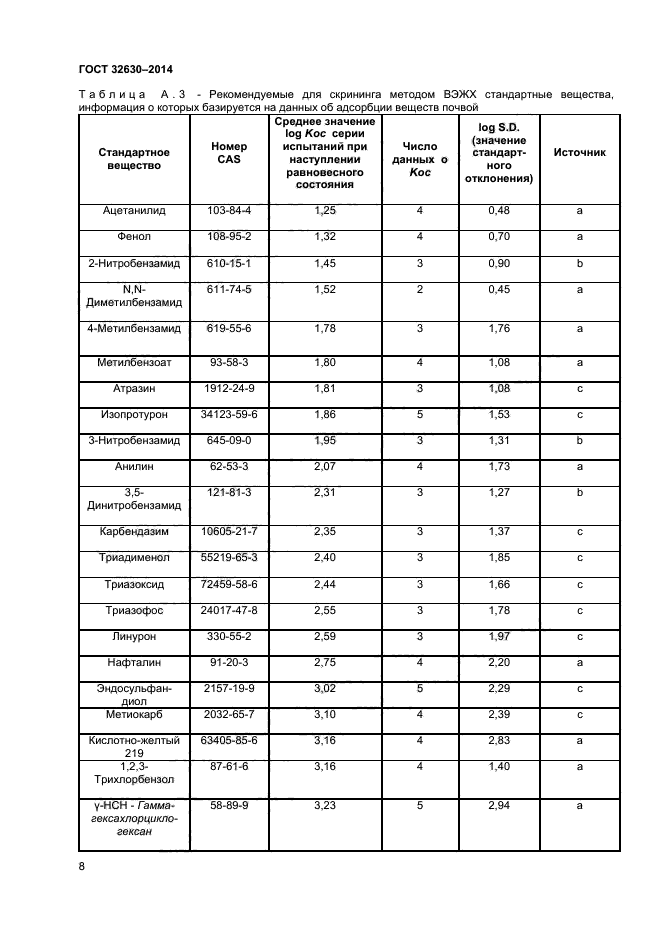
Настоящий стандарт устанавливает методы испытания химических веществ с использованием высокоэффективной жидкостной хроматографии (ВЭЖХ) для оценки коэффициента их адсорбции (Koc) почвой и осадками сточных вод
| Обозначение: | ГОСТ 32630-2014 |
| Статус: | действующий |
| Название рус.: | Методы испытаний химической продукции, представляющей опасность для окружающей среды. Оценка коэффициента адсорбции почвой и осадками сточных вод методом высокоэффективной жидкостной хроматографии |
| Дата актуализации текста: | 06.04.2015 |
| Дата актуализации описания: | 10.08.2017 |
| Дата издания: | 12.01.2015 |
| Дата введения в действие: | 01.06.2015 |
| Дата последнего изменения: | 13.07.2017 |
| Область и условия применения: | Настоящий стандарт устанавливает методы испытания химических веществ с использованием высокоэффективной жидкостной хроматографии (ВЭЖХ) для оценки коэффициента их адсорбции (Koc) почвой и осадками сточных вод |
| Страниц: | 15 |
| Ссылки для скачивания: |

