Меню по разделу
+
Настоящий стандарт определяет методы оценки затрат на техническую эксплуатацию образца продукции военного назначения на стадии его разработки. Стандарт распространяется на самостоятельно применяемые изделия и их составные части.
Требования настоящего стандарта распространяются на следующие виды продукции военного назначения:
- вооружение и военная техника;
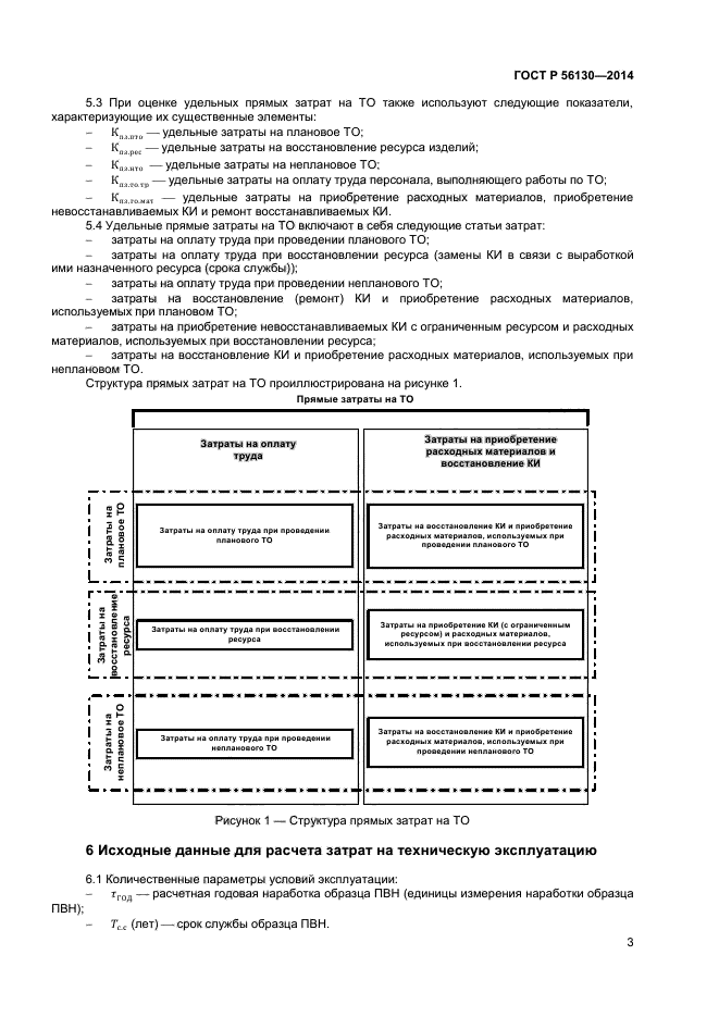
- системы связи и управления войсками, вооружением и военной техникой;
- инженерно-технические сооружения, оборудование для боевого применения вооружения и военной техники (там, где это применимо);
- специальное оборудование для производства, ремонта, модернизации и (или) уничтожения (утилизации) вооружения и военной техники (там, где это применимо)
| Обозначение: | ГОСТ Р 56130-2014 |
| Статус: | действующий |
| Название рус.: | Интегрированная логистическая поддержка экспортируемой продукции военного назначения. Оценка затрат на техническую эксплуатацию на стадии разработки |
| Дата актуализации текста: | 06.04.2015 |
| Дата актуализации описания: | 10.08.2017 |
| Дата издания: | 02.03.2015 |
| Дата введения в действие: | 01.09.2015 |
| Дата последнего изменения: | 17.07.2017 |
| Область и условия применения: | Настоящий стандарт определяет методы оценки затрат на техническую эксплуатацию образца продукции военного назначения на стадии его разработки. Стандарт распространяется на самостоятельно применяемые изделия и их составные части.
Требования настоящего стандарта распространяются на следующие виды продукции военного назначения: - вооружение и военная техника; - системы связи и управления войсками, вооружением и военной техникой; - инженерно-технические сооружения, оборудование для боевого применения вооружения и военной техники (там, где это применимо); - специальное оборудование для производства, ремонта, модернизации и (или) уничтожения (утилизации) вооружения и военной техники (там, где это применимо) |
| Страниц: | 12 |
| Ссылки для скачивания: |

