Меню по разделу
+
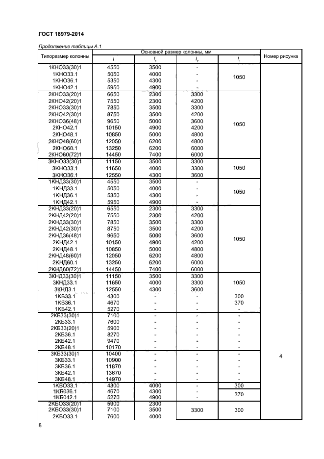
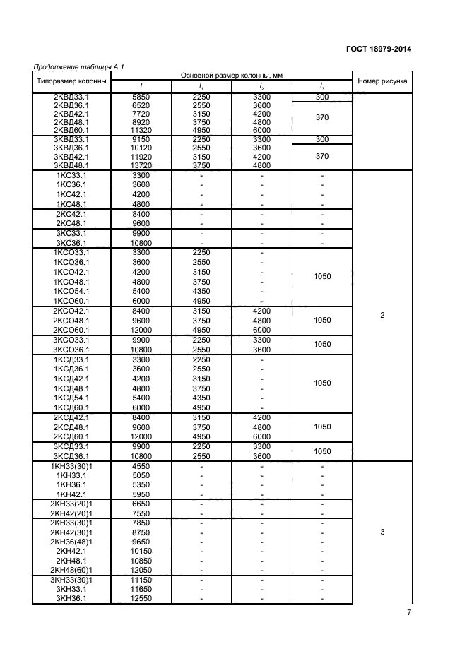
Настоящий стандарт устанавливает требования к изготовлению железобетонных колонн сплошного прямоугольного поперечного сечения из тяжелого бетона, предназначенных для каркасов многоэтажных общественных зданий, производственных, административных и бытовых зданий промышленных предприятий
| Обозначение: | ГОСТ 18979-2014 |
| Статус: | действующий |
| Название рус.: | Колонны железобетонные для многоэтажных зданий. Технические условия |
| Дата актуализации текста: | 06.04.2015 |
| Дата актуализации описания: | 10.08.2017 |
| Дата издания: | 02.02.2015 |
| Дата введения в действие: | 01.07.2015 |
| Дата последнего изменения: | 17.07.2017 |
| Область и условия применения: | Настоящий стандарт устанавливает требования к изготовлению железобетонных колонн сплошного прямоугольного поперечного сечения из тяжелого бетона, предназначенных для каркасов многоэтажных общественных зданий, производственных, административных и бытовых зданий промышленных предприятий |
| Страниц: | 20 |
| Ссылки для скачивания: |

