Меню по разделу
+
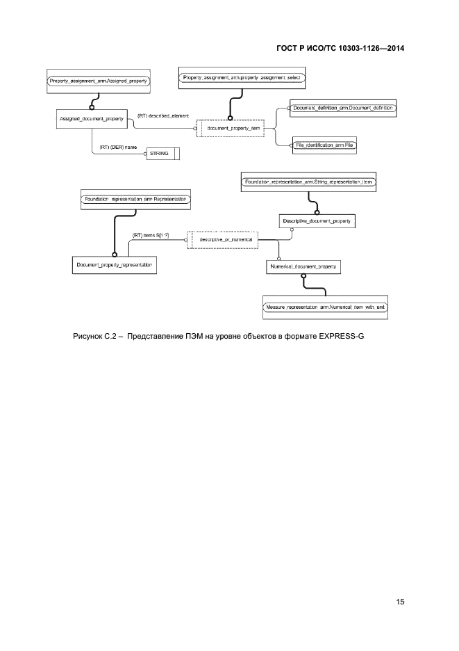
Настоящий стандарт определяет прикладной модуль «Свойства документа». В область применения настоящего стандарта входят:
- задание свойств отдельного представления документа некоторой версии;
- задание свойств файла;
- описание присущих документу свойств;
- описание представления присущих документу свойств.
В область применения настоящего стандарта не входит обозначение документов и версий документов
| Обозначение: | ГОСТ Р ИСО/ТС 10303-1126-2014 |
| Статус: | действующий |
| Название рус.: | Системы автоматизации производства и их интеграция. Представление данных об изделии и обмен этими данными. Часть 1126. Прикладной модуль. Свойства документа |
| Дата актуализации текста: | 06.04.2015 |
| Дата актуализации описания: | 10.08.2017 |
| Дата издания: | 02.02.2015 |
| Дата введения в действие: | 01.08.2015 |
| Дата последнего изменения: | 17.07.2017 |
| Область и условия применения: | Настоящий стандарт определяет прикладной модуль «Свойства документа». В область применения настоящего стандарта входят:
- задание свойств отдельного представления документа некоторой версии; - задание свойств файла; - описание присущих документу свойств; - описание представления присущих документу свойств. В область применения настоящего стандарта не входит обозначение документов и версий документов |
| Страниц: | 23 |
| Ссылки для скачивания: |

