Меню по разделу
+
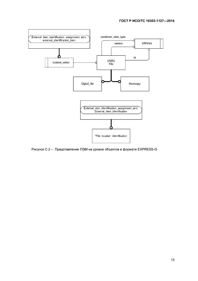
Настоящий стандарт определяет прикладной модуль «Обозначения файла». В область применения настоящего стандарта входят:
- обозначение цифрового файла, такого, как файл в компьютерной системе;
- обозначение физического файла, такого, как стопка бумаги;
- описание обозначения файла и его размещения в цифровой или физической системе хранения
| Обозначение: | ГОСТ Р ИСО/ТС 10303-1127-2014 |
| Статус: | действующий |
| Название рус.: | Системы автоматизации производства и их интеграция. Представление данных об изделии и обмен этими данными. Часть 1127. Прикладной модуль. Обозначение файла |
| Дата актуализации текста: | 06.04.2015 |
| Дата актуализации описания: | 10.08.2017 |
| Дата издания: | 02.02.2015 |
| Дата введения в действие: | 01.08.2015 |
| Дата последнего изменения: | 17.07.2017 |
| Область и условия применения: | Настоящий стандарт определяет прикладной модуль «Обозначения файла». В область применения настоящего стандарта входят:
- обозначение цифрового файла, такого, как файл в компьютерной системе; - обозначение физического файла, такого, как стопка бумаги; - описание обозначения файла и его размещения в цифровой или физической системе хранения |
| Страниц: | 23 |
| Ссылки для скачивания: |

