Меню
Навигация
Первая линия
Novatika

ГОСТ Р ИСО 13584-25-2010 Системы промышленной автоматизации и интеграция. Библиотека деталей. Часть 25. Логический ресурс. Логическая модель библиотеки поставщика с агрегированными значениями и подробным содержанием

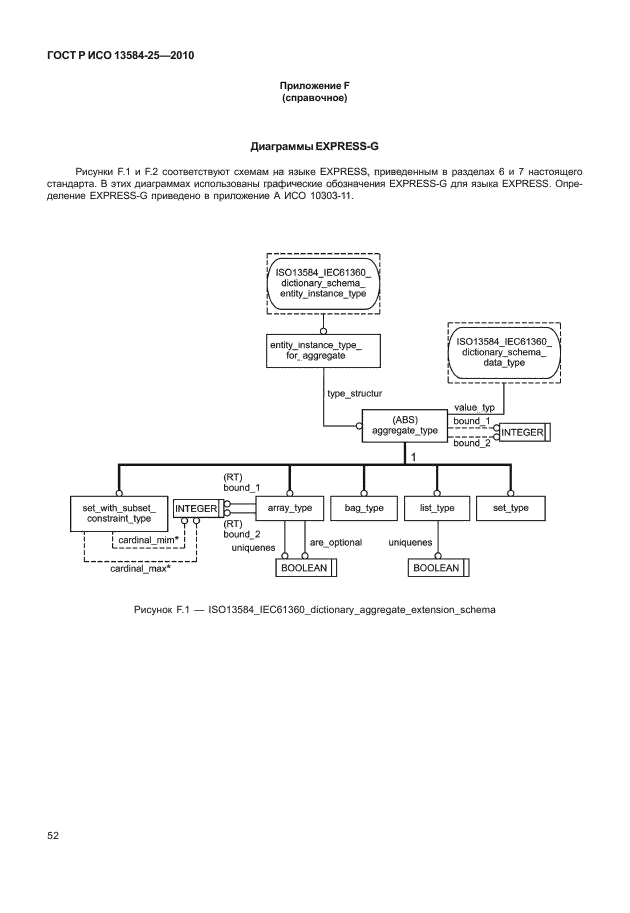
Настоящей стандарт распространяется на конструкции ресурсов на языке EXPRESS общего вида, предназначенные для описания агрегированных типов данных и значений, которые входят в библиотеки поставщика. Кроме этого в стандарте приведена интегрированная информационная модель на языке EXPRESS для представления библиотек поставщика с целью обмена данными. Эта интегрированная модель объединяет в единую схему упомянутые выше конструкции ресурсов и другие конструкции ресурсов EXPRESS, описанные в других стандартах комплексов ИСО 13584 и ИСО 10303. Библиотеки поставщика состоят из определений и представлений семейств деталей, а также определений новых категорий представлений. Библиотеки поставщика должны включать в себя только элементы словарей с агрегированными типами данных либо без них и содержать дополнительные спецификации наборов допустимых экземпляров.
Настоящий стандарт распространяется на:
- конструкции ресурсов общего вида для представления агрегированных типов данных. Типы и значения агрегированных данных моделируются в соответствии с определением агрегированных типов данных языка EXPRESS согласно ИСО 10303-11;
- конструкции ресурсов общего вида для представления агрегированных значений;
- конструкции ресурсов общего вида для представления деталей, которые могут содержать неограниченное число сборочных компонентов;
- интегрированную информационную модель библиотеки, предназначенную для моделирования и обмена библиотеками поставщика и содержащую свойства, значения которых могут иметь агрегированную структуру, а описания возможных расширений классов этих свойств приведены в виде наборов экземпляров.
Настоящий стандарт не распространяется на:
- представление выражений и переменных;
- описание набора допустимых экземпляров класса путем указания ограничений;
- спецификацию системы программного обеспечения, обеспечивающей управление библиотеками поставщика, представление которых соответствует информационным моделям, определенным в настоящем стандарте

Обозначение: ГОСТ Р ИСО 13584-25-2010
Статус: действующий
Название рус.: Системы промышленной автоматизации и интеграция. Библиотека деталей. Часть 25. Логический ресурс. Логическая модель библиотеки поставщика с агрегированными значениями и подробным содержанием
Название англ.: Industrial automation systems and integration. Parts library. Part 25. Logical resource. Logical model of supplier library with aggregate values and explicit content
Дата актуализации текста: 06.04.2015
Дата актуализации описания: 10.08.2017
Дата издания: 03.06.2014
Дата введения в действие: 31.08.2011
Дата последнего изменения: 13.07.2017
Область и условия применения: Настоящей стандарт распространяется на конструкции ресурсов на языке EXPRESS общего вида, предназначенные для описания агрегированных типов данных и значений, которые входят в библиотеки поставщика. Кроме этого в стандарте приведена интегрированная информационная модель на языке EXPRESS для представления библиотек поставщика с целью обмена данными. Эта интегрированная модель объединяет в единую схему упомянутые выше конструкции ресурсов и другие конструкции ресурсов EXPRESS, описанные в других стандартах комплексов ИСО 13584 и ИСО 10303. Библиотеки поставщика состоят из определений и представлений семейств деталей, а также определений новых категорий представлений. Библиотеки поставщика должны включать в себя только элементы словарей с агрегированными типами данных либо без них и содержать дополнительные спецификации наборов допустимых экземпляров.
Настоящий стандарт распространяется на:
- конструкции ресурсов общего вида для представления агрегированных типов данных. Типы и значения агрегированных данных моделируются в соответствии с определением агрегированных типов данных языка EXPRESS согласно ИСО 10303-11;
- конструкции ресурсов общего вида для представления агрегированных значений;
- конструкции ресурсов общего вида для представления деталей, которые могут содержать неограниченное число сборочных компонентов;
- интегрированную информационную модель библиотеки, предназначенную для моделирования и обмена библиотеками поставщика и содержащую свойства, значения которых могут иметь агрегированную структуру, а описания возможных расширений классов этих свойств приведены в виде наборов экземпляров.
Настоящий стандарт не распространяется на:
- представление выражений и переменных;
- описание набора допустимых экземпляров класса путем указания ограничений;
- спецификацию системы программного обеспечения, обеспечивающей управление библиотеками поставщика, представление которых соответствует информационным моделям, определенным в настоящем стандарте
Страниц: 78
Ссылки для скачивания: