Меню по разделу
+
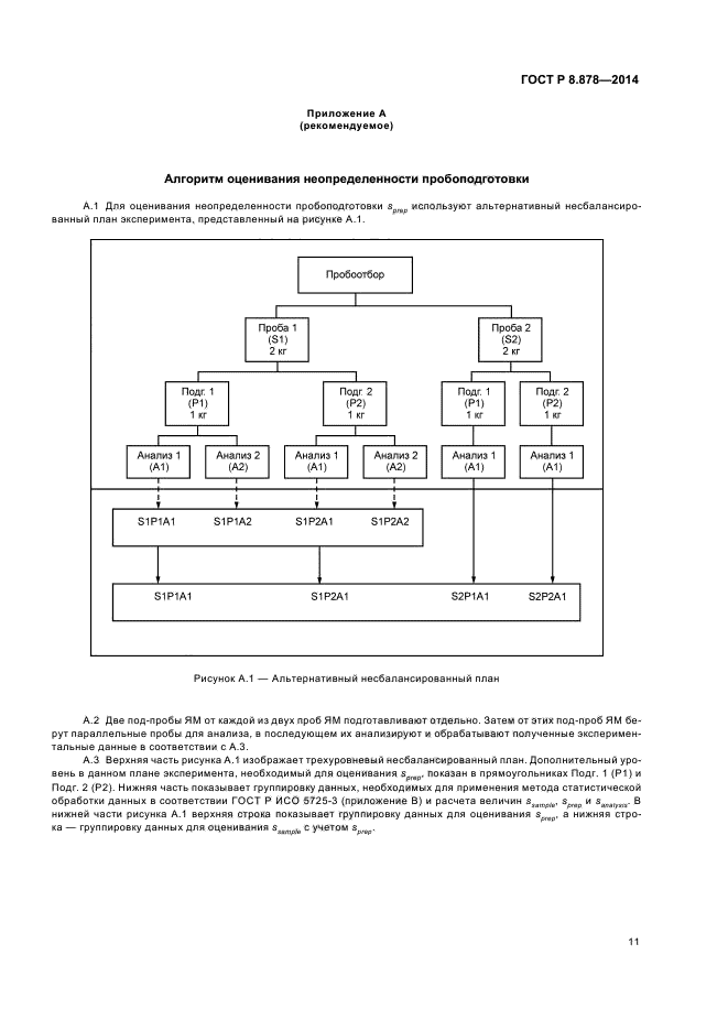
Настоящий стандарт распространяется на ядерные материалы и специальные неядерные материалы, подлежащие государственному учету и контролю, и устанавливает метод экспериментального оценивания составляющих неопределенности результата измерений, вызванных пробоотбором, в системе измерений ЯМ с учетом всех этапов перевода объединенной пробы ЯМ в лабораторную пробу ЯМ
| Обозначение: | ГОСТ Р 8.878-2014 |
| Статус: | действующий |
| Название рус.: | Государственная система обеспечения единства измерений. Учет и контроль ядерных материалов. Система измерений. Оценивание неопределенности пробоотбора |
| Дата актуализации текста: | 01.08.2015 |
| Дата актуализации описания: | 10.08.2017 |
| Дата издания: | 03.04.2015 |
| Дата введения в действие: | 01.07.2015 |
| Дата последнего изменения: | 13.07.2017 |
| Область и условия применения: | Настоящий стандарт распространяется на ядерные материалы и специальные неядерные материалы, подлежащие государственному учету и контролю, и устанавливает метод экспериментального оценивания составляющих неопределенности результата измерений, вызванных пробоотбором, в системе измерений ЯМ с учетом всех этапов перевода объединенной пробы ЯМ в лабораторную пробу ЯМ |
| Страниц: | 20 |
| Ссылки для скачивания: |

