Меню по разделу
+
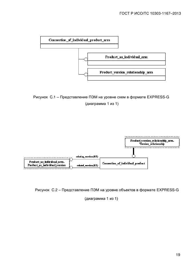
Настоящий стандарт определяет прикладной модуль «Соединение отдельных изделий».
Требования настоящего стандарта распространяются на взаимосвязь между двумя отдельными изделиями, которая определяет, что одно из этих изделий соединено с другим.
Требования настоящего стандарта не распространяются на:
- класс соединения изделий;
- классификацию взаимосвязи типа «соединение» между изделиями;
- отдельные изделия, образующие соединение;
- взаимосвязь типа «соединение» между действиями
| Обозначение: | ГОСТ Р ИСО/ТС 10303-1167-2013 |
| Статус: | действующий |
| Название рус.: | Системы автоматизации производства и их интеграция. Представление данных об изделии и обмен этими данными. Часть 1167. Прикладной модуль. Соединение отдельных изделий |
| Дата актуализации текста: | 06.04.2015 |
| Дата актуализации описания: | 10.08.2017 |
| Дата издания: | 01.08.2014 |
| Дата введения в действие: | 01.08.2014 |
| Дата последнего изменения: | 13.07.2017 |
| Область и условия применения: | Настоящий стандарт определяет прикладной модуль «Соединение отдельных изделий».
Требования настоящего стандарта распространяются на взаимосвязь между двумя отдельными изделиями, которая определяет, что одно из этих изделий соединено с другим. Требования настоящего стандарта не распространяются на: - класс соединения изделий; - классификацию взаимосвязи типа «соединение» между изделиями; - отдельные изделия, образующие соединение; - взаимосвязь типа «соединение» между действиями |
| Страниц: | 32 |
| Ссылки для скачивания: |

