Меню по разделу
+
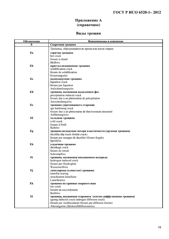
Эта часть стандарта ИСО 6520 является основной для классификации и описания дефектов сварки.
Для более точной классификации дефектов приводятся пояснения и, при необходимости, эскизы.
Металлургические дефекты не рассматриваются.
Возможна другая система обозначения дефектов согласно стандарту ISO/TS 17845
| Обозначение: | ГОСТ Р ИСО 6520-1-2012 |
| Статус: | действующий |
| Название рус.: | Сварка и родственные процессы. Классификация дефектов геометрии и сплошности в металлических материалах. Часть 1. Сварка плавлением |
| Дата актуализации текста: | 06.04.2015 |
| Дата актуализации описания: | 10.08.2017 |
| Дата издания: | 18.07.2014 |
| Дата введения в действие: | 01.01.2014 |
| Дата последнего изменения: | 13.07.2017 |
| Область и условия применения: | Эта часть стандарта ИСО 6520 является основной для классификации и описания дефектов сварки.
Для более точной классификации дефектов приводятся пояснения и, при необходимости, эскизы. Металлургические дефекты не рассматриваются. Возможна другая система обозначения дефектов согласно стандарту ISO/TS 17845 |
| Страниц: | 33 |
| Ссылки для скачивания: |

