Меню по разделу
+
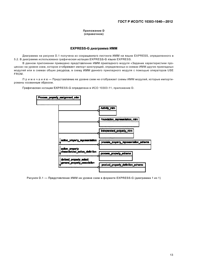
Настоящий стандарт определяет прикладной модуль «Задание характеристики процесса».
Требования настоящего стандарта распространяются на:
- спецификациию характеристики действия;
- представление характеристики действия;
- использование независимой характеристики в определении действия;
- элементы, относящиеся к области применения прикладного модуля «Действие», определенного в ИСО/ТС 10303-1047;
- элементы, относящиеся к области применения прикладного модуля «Представление основы», определенного в ИСО/ТС 10303-1006;
- элементы, относящиеся к области применения прикладного модуля «Независимая характеристика», определенного в ИСО/ТС 10303-1036
| Обозначение: | ГОСТ Р ИСО/ТС 10303-1040-2012 |
| Статус: | действующий |
| Название рус.: | Системы автоматизации производства и их интеграция. Представление данных об изделии и обмен этими данными. Часть 1040. Прикладной модуль. Задание характеристики процесса |
| Дата актуализации текста: | 06.04.2015 |
| Дата актуализации описания: | 10.08.2017 |
| Дата издания: | 06.02.2014 |
| Дата введения в действие: | 01.09.2013 |
| Дата последнего изменения: | 13.07.2017 |
| Область и условия применения: | Настоящий стандарт определяет прикладной модуль «Задание характеристики процесса».
Требования настоящего стандарта распространяются на: - спецификациию характеристики действия; - представление характеристики действия; - использование независимой характеристики в определении действия; - элементы, относящиеся к области применения прикладного модуля «Действие», определенного в ИСО/ТС 10303-1047; - элементы, относящиеся к области применения прикладного модуля «Представление основы», определенного в ИСО/ТС 10303-1006; - элементы, относящиеся к области применения прикладного модуля «Независимая характеристика», определенного в ИСО/ТС 10303-1036 |
| Страниц: | 23 |
| Ссылки для скачивания: |

