Меню по разделу
+
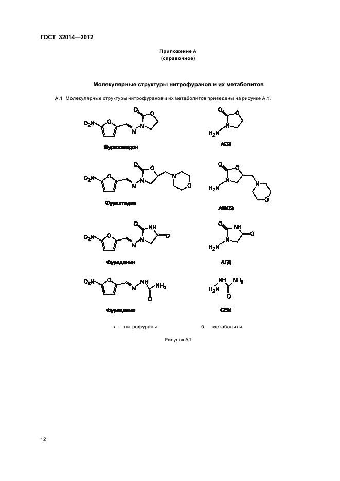
Настоящий стандарт распространяется на молоко, молочные продукты, яйца, яичный порошок, мясо и мясные продукты, включая мясо и продукты из мяса птицы, мед, креветки и устанавливает метод высокоэффективной жидкостной хроматографии с масс-спектрометрическим детектированием для определения остаточного содержания метаболитов нитрофуранов в диапазоне измерений от 1,0 до 1000,0 мкг/кг
| Обозначение: | ГОСТ 32014-2012 |
| Статус: | действующий |
| Название рус.: | Продукты пищевые, продовольственное сырье. Метод определения остаточного содержания метаболитов нитрофуранов с помощью высокоэффективной жидкостной хроматографии с масс-спектрометрическим детектором |
| Название англ.: | Food products, food raw materials. Method of determination of the nitrofuran mytobolites by high performance liquid chromatography - mass spectrometry (HPLC-MS) |
| Дата актуализации текста: | 06.04.2015 |
| Дата актуализации описания: | 10.08.2017 |
| Дата издания: | 21.11.2013 |
| Дата введения в действие: | 01.07.2014 |
| Дата последнего изменения: | 13.07.2017 |
| Область и условия применения: | Настоящий стандарт распространяется на молоко, молочные продукты, яйца, яичный порошок, мясо и мясные продукты, включая мясо и продукты из мяса птицы, мед, креветки и устанавливает метод высокоэффективной жидкостной хроматографии с масс-спектрометрическим детектированием для определения остаточного содержания метаболитов нитрофуранов в диапазоне измерений от 1,0 до 1000,0 мкг/кг |
| Список изменений: | №0 от 19.04.2017 (рег. 19.04.2017) «Дата введения перенесена» №1 от 01.03.2017 (рег. 27.10.2016) «Текстовое изменение; Изменены ссылочные НД» |
| Страниц: | 23 |
| Ссылки для скачивания: |

