Стандарт устанавливает эксплуатационные требования для натриевых ламп высокого давления для общего освещения, удовлетворяющих требованиям безопасности по ГОСТ Р 52713. Стандарт устанавливает размеры ламп, электрические параметры для зажигания и работы ламп, а также содержит информацию для расчета пускорегулирующего аппарата, зажигающего устройства и светильника.
| Обозначение: | ГОСТ Р 53073-2008 |
| Название рус.: | Лампы натриевые высокого давления. Эксплуатационные требования |
| Статус: | действует |
| Дата актуализации текста: | 05.05.2017 |
| Дата добавления в базу: | 01.09.2013 |
| Дата введения в действие: | 01.07.2009 |
| Утвержден: | 18.12.2008 Федеральное агентство по техническому регулированию и метрологии (454-ст) |
| Опубликован: | Стандартинформ (2009 г. ) |
| Ссылки для скачивания: |
ФЕДЕРАЛЬНОЕ АГЕНТСТВО
ПО ТЕХНИЧЕСКОМУ РЕГУЛИРОВАНИЮ И МЕТРОЛОГИИ
|
|
НАЦИОНАЛЬНЫЙ |
ГОСТ Р (МЭК 60662:2002) |
ЛАМПЫ НАТРИЕВЫЕ ВЫСОКОГО ДАВЛЕНИЯ
Эксплуатационные требования
IEC 60662:2002
High-pressure sodium
vapour lamps - Performance specifications
(MOD)
|
|
Москва Стандартинформ 2009 |
Предисловие
Цели и принципы стандартизации в Российской Федерации установлены Федеральным законом от 27 декабря 2002 г. № 184-ФЗ «О техническом регулировании», а правила применения национальных стандартов Российской Федерации - ГОСТ Р 1.0-2004 «Стандартизация в Российской Федерации. Основные положения»
Сведения о стандарте
1 ПОДГОТОВЛЕН Открытым акционерным обществом «Всероссийский научно-исследовательский институт источников света имени А.Н. Лодыгина» (ОАО «Лисма-ВНИИИС») на основе собственного аутентичного перевода стандарта, указанного в пункте 4
2 ВНЕСЕН Техническим комитетом по стандартизации ТК 332 «Светотехнические изделия»
3 УТВЕРЖДЕН И ВВЕДЕН В ДЕЙСТВИЕ Приказом Федерального агентства по техническому регулированию и метрологии от 18 декабря 2008 г. № 454-ст
4 Настоящий стандарт является модифицированным по отношению к международному стандарту МЭК 60662:2002 «Лампы натриевые высокого давления. Требования к рабочим характеристикам» (IEC 60662:2002 «High-pressure sodium vapour lamps - Performance specifications») путем внесения изменений, объяснение которых изложено во введении к настоящему стандарту
5 ВВЕДЕН ВПЕРВЫЕ
Информация об изменениях к настоящему стандарту публикуется в ежегодно издаваемом информационном указателе «Национальные стандарты», а текст изменений и поправок - в ежемесячно издаваемых информационных указателях «Национальные стандарты». В случае пересмотра (замены) или отмены настоящего стандарта соответствующее уведомление будет опубликовано в ежемесячно издаваемом информационном указателе «Национальные стандарты». Соответствующая информация, уведомление и тексты размещаются также в информационной системе общего пользования - на официальном сайте Федерального агентства по техническому регулированию и метрологии в сети Интернет
СОДЕРЖАНИЕ
Введение
В настоящий стандарт включены дополнительные по отношению к международному стандарту МЭК 60662:2002 требования, отражающие потребности национальной экономики Российской Федерации, выделенные в тексте стандарта курсивом.
Наименование настоящего стандарта изменено относительно наименования указанного международного стандарта для приведения в соответствие с ГОСТ Р 1.5-2004 (пункт 3.5).
В стандарте учтены и выделены сплошной вертикальной линией, расположенной слева от текста, а в таблицах - подчеркиванием требования, предусмотренные проектом изменения к международному стандарту МЭК 60662:2002 - документ 34A/1290/CD:2008.
Параметры ламп из раздела 2 МЭК 60662:2002 «Листы с параметрами ламп» сведены в таблицы 1, 2 и 3, характеристики образцовых измерительных дросселей - в таблицу 4 в соответствии с требованиями раздела 4 ГОСТ Р 1.5-2004 и для удобства пользования стандартом. Исключены требования к лампам с цоколями Е39, Е26/24. В связи с изложенным исключен раздел 2 МЭК 60662:2002.
Исключены приложение С «Руководство по определению четырехсторонних диаграмм» и приложение Е «Методика измерения запредельных напряжений натриевых ламп высокого давления (НЛВД)», поскольку в стандарте приведены конкретные диаграммы предельных рабочих характеристик ламп всех типов, необходимые для информации по расчету пускорегулирующих аппаратов. Диаграммы предельных рабочих характеристик ламп приведены в приложении Н.
В стандарт введены характеристики импульса, применяемые в Российской Федерации, и исключены требования, установленные для Северной Америки, Японии и Дальнего Востока.
Введены приложение J «Сопоставление структуры настоящего стандарта со структурой примененного в нем международного стандарта» и приложение К «Сведения о соответствии ссылочных международных стандартов национальным стандартам Российской Федерации, использованным в настоящем стандарте в качестве нормативных ссылок».
ГОСТ Р 53073-2008
(МЭК 60662:2002)
НАЦИОНАЛЬНЫЙ СТАНДАРТ РОССИЙСКОЙ ФЕДЕРАЦИИ
ЛАМПЫ НАТРИЕВЫЕ ВЫСОКОГО ДАВЛЕНИЯ
Эксплуатационные требования
High-pressure sodium vapour lamps. Performance requirements
Дата введения - 2009-07-01
Настоящий стандарт устанавливает эксплуатационные требования для натриевых ламп высокого давления для общего освещения (далее - лампы), удовлетворяющих требованиям безопасности по ГОСТ Р 52713.
Стандарт устанавливает размеры ламп, электрические параметры для зажигания и работы ламп, а также содержит информацию для расчета пускорегулирующего аппарата (ПРА), зажигающего устройства (ЗУ) и светильника.
В настоящем стандарте использованы нормативные ссылки на следующие стандарты:
ГОСТ Р МЭК 923-98 Устройства для ламп. Аппараты пускорегулирующие для разрядных ламп (кроме трубчатых люминесцентных ламп). Требования к рабочим характеристикам
ГОСТ Р 52713-2007 (МЭК 62035:1999) Лампы разрядные (кроме люминесцентных ламп). Требования безопасности
ГОСТ 17616-82 Лампы электрические. Методы измерения электрических и световых параметров
ГОСТ 23198-94 Лампы электрические. Методы измерения спектральных и цветовых характеристик
ГОСТ 28108-89 Цоколи для источников света. Типы, основные и присоединительные размеры, калибры
Примечание - При пользовании настоящим стандартом целесообразно проверить действие ссылочных стандартов в информационной системе общего пользования - на официальном сайте Федерального агентства по техническому регулированию и метрологии в сети Интернет или по ежегодно издаваемому информационному указателю «Национальные стандарты», который опубликован по состоянию на 1 января текущего года, и по соответствующим ежемесячно издаваемым информационным указателям, опубликованным в текущем году. Если ссылочный стандарт заменен (изменен), то при пользовании настоящим стандартом следует руководствоваться заменяющим (измененным) стандартом. Если ссылочный стандарт отменен без замены, то положение, в котором дана ссылка на него, применяется в части, не затрагивающей эту ссылку.
3.1 В настоящем стандарте применены следующие термины с соответствующими определениями:
3.1.1 лампа натриевая высокого давления [high-pressure sodium (vapour) lamp]: Высокоинтенсивная разрядная лампа, в которой основная часть света генерируется излучением паров натрия с парциальным давлением порядка 10 кПа (75 мм рт.ст.) при установившемся режиме.
Примечание - Колба может быть прозрачной или диффузной.
3.1.2 номинальное значение (nominal value): Значение характеристики, используемое для обозначения или идентификации лампы.
3.1.3 расчетное значение (rated value): Значение характеристики лампы при заданных рабочих условиях, установленное в настоящем стандарте или технических условиях на лампы конкретных типов.
3.1.4 дроссель образцовый измерительный; ДОИ (reference ballast): Специальный пускорегулирующий аппарат индуктивного типа, удовлетворяющий требованиям ГОСТ Р МЭК 923, являющийся элементом сравнения при испытании пускорегулирующего аппарата, а также предназначенный для испытаний ламп при стандартных условиях, главная особенность которого состоит в том, что при расчетной частоте он имеет стабильное отношение напряжения к току, мало зависящее от колебаний тока, температуры и от внешних магнитных полей.
3.1.5 ток калибровки (calibration current): Значение силы тока, при котором проводят калибровку и проверку образцового измерительного дросселя.
3.2 Обозначения
Для классификации ламп по типу колбы используют следующие обозначения:
Эпр - эллипсоидная прозрачная (Е);
Эдиф - эллипсоидная с диффузным покрытием (Е);
Цпр - трубчатая прозрачная (Т).
Лампы должны быть сконструированы таким образом, чтобы их характеристики были надежны при правильной эксплуатации, что обеспечивается соответствием ламп требованиям настоящего стандарта.
Маркировка ламп должна соответствовать ГОСТ Р 52713. Кроме того, на лампе должны быть четко и прочно нанесены следующие символы, характеризующие метод зажигания:
- для ламп без
внутреннего зажигающего устройства, для которых требуется внешнее ЗУ (тип 1)
;
- для ламп с
внутренним ЗУ (тип 2)
.
Габаритные и присоединительные размеры ламп должны соответствовать указанным в таблице 1 и обозначенным в приложении В.
Таблица 1
|
Расчетная мощность, Вт |
Тип ЗУ |
Тип цоколя |
Тип колбы |
Габаритные размеры, мм |
Напряжение на лампе (действующее значение), В |
Ток (действующее значение), А |
Напряжение погасания (действующее значение), В |
Номер листа МЭК 60662 |
|||||
|
Диаметр колбы D, не более |
Длина лампы L, не более |
Длина дуги А |
Высота светового центра Н |
Несоосность горелки и цоколя1) |
|||||||||
|
Параметры ламп обычного исполнения |
|||||||||||||
|
50 |
50 |
2 |
Е27 |
Эпр |
72 |
165 |
23 - 37 |
95 - 115 |
3° |
85 ± 15 |
0,76 |
130 |
60662-МЭК-1170 |
|
Эдиф |
- |
||||||||||||
|
1 |
Цпр |
39 |
156 |
30 |
97 - 107 |
60662-МЭК-1180 |
|||||||
|
Эпр |
72 |
165 |
23 - 37 |
95 - 115 |
60662-МЭК-1190 |
||||||||
|
Эдиф |
- |
||||||||||||
|
70 |
70 |
2 |
Эпр |
- |
90 ± 15 |
0,98 |
60662-МЭК-1110 |
||||||
|
Эдиф |
|||||||||||||
|
1 |
Цпр |
39 |
156 |
35 |
97 - 107 |
60662-МЭК-1120 |
|||||||
|
Эпр |
72 |
165 |
28 - 45 |
95 - 115 |
60662-МЭК-1130 |
||||||||
|
Эдиф |
- |
||||||||||||
|
100 |
100 |
Е40 |
Эдиф |
78 |
186 |
100 ± 15 |
1,2 |
135 |
60662-МЭК-1080 |
||||
|
Цпр |
48 |
211 |
40 |
127 - 137 |
60662-МЭК-1070 |
||||||||
|
150 |
150 |
1 или 2 |
Цпр |
55 |
127 - 137 |
1,8 |
60662-МЭК-1050 |
||||||
|
Эдиф |
91 |
227 |
- |
60662-МЭК-1060 |
|||||||||
|
250 |
250 |
Цпр |
48 |
260 |
65 |
153 - 163 |
3° |
3,0 |
60662-МЭК-1010 |
||||
|
Эдиф |
91 |
227 |
- |
60662-МЭК-1020 |
|||||||||
|
400 |
392 |
Цпр |
48 |
292 |
85 |
170 - 180 |
3° |
|
4,6 |
60662-МЭК-ЮЗО |
|||
|
400 |
Эдиф |
122 |
- |
105 ± 15 |
4,45 |
60662-МЭК-1040 |
|||||||
|
600 |
605 |
1 |
Цпр |
48 |
110 |
160 - 180 |
3° |
110 ± 15 |
6,1 |
145 |
- |
||
|
1000 |
960 |
Цпр |
68 |
400 |
155 |
232 - 248 |
100 ± 15 |
10,6 |
60662-МЭК-1150 |
||||
|
1000 |
Эдиф |
170 |
410 |
- |
110 ± 15 |
10,3 |
60662-МЭК-1160 |
||||||
|
Параметры ламп с улучшенной цветностью |
|||||||||||||
|
150 |
148 |
1 |
Е40 |
Цпр |
48 |
211 |
402) |
127 - 137 |
3° |
100 ±15 |
1,8 |
135 |
60662-МЭК-2100 |
|
Эдиф |
91 |
227 |
- |
60662-МЭК-2110 |
|||||||||
|
250 |
245 |
Цпр |
48 |
260 |
50 |
153 - 163 |
3° |
2,95 |
60662-МЭК-2120 |
||||
|
Эдиф |
91 |
227 |
- |
60662-МЭК-2130 |
|||||||||
|
400 |
380 |
Цпр |
48 |
292 |
55 |
170 - 180 |
3° |
4,5 |
60662-МЭК-2140 |
||||
|
385 |
Эдиф |
122 |
- |
105+15 |
4,4 |
60662-МЭК-2150 |
|||||||
|
Параметры ламп с повышенным напряжением зажигания |
|||||||||||||
|
250 |
255 |
1 |
Е40 |
Цпр |
48 |
260 |
503) |
153 - 163 |
3° |
100 ± 15 |
2,95 |
135 |
60662-МЭК-4010 |
|
Эдиф |
91 |
227 |
- |
60662-МЭК-4020 |
|||||||||
|
400 |
400 |
Цпр |
48 |
292 |
854) |
170 - 180 |
3° |
4,5 |
60662-МЭК-4030 |
||||
|
410 |
Эдиф |
122 |
- |
105 ± 15 |
4,4 |
60662-МЭК-4040 |
|||||||
|
1) Отклонение любой точки по осевой линии горелки от оси цоколя (за исходную точку принимают вершину центрального контакта цоколя). Примечания 1 Имеются конструкции с номинальной длиной дуги А: 2) 70 мм. 3) 85 мм. 4) 110 мм. 2 Номера листов из примененного стандарта МЭК 60662, содержащих значения размеров и характеристик зажигания и разгорания ламп, приведены для информации пользователя. |
|||||||||||||
Цоколи ламп должны соответствовать ГОСТ 28108.
При испытании на зажигание, разгорание и проверке электрических параметров лампы должны работать в горизонтальном положении на открытом воздухе при температуре окружающей среды (25 ± 5) °С от синусоидального источника питания частотой 50 Гц с заданным ПРА при испытательном напряжении 198 В.
8.1.1 Лампы с внешним зажигающим устройством
Характеристики зажигания и разгорания ламп приведены в таблице 2.
Характеристики импульса измеряют на патроне без лампы при его нормальном электрическом соединении или на выходных зажимах ЗУ в условиях холостого хода. Форма волны импульса, скорость повторения и угол фазы напряжения холостого хода приведены в приложении А, время зажигания и амплитуда импульса (пиковая) - в таблице 2.
Фиксированные настройки базового устройства приведены в приложении D.
Пиковое значение амплитуды импульса измеряют от нулевого значения напряжения холостого хода. Последующие значения пиков того же импульса не должны превышать 50 % первоначального.
Схема соединения для зажигания ламп должна быть такой, чтобы импульс зажигания поступал на лампу через центральный контакт цоколя, а потенциал на корпусе цоколя должен быть равен нулю.
Форма волны напряжения синусоидальная.
Таблица 2 - Для ламп с внешним ЗУ
|
Расчетная мощность, Вт |
Тип цоколя |
Тип колбы |
Характеристики зажигания, не более1) |
Характеристика разгорания, не более |
Номер листа МЭК 60662 |
||
|
Время зажигания, с |
Амплитуда импульса (пиковая), В2) |
Время, необходимое для достижения на лампе напряжения не менее 50 В, мин |
|||||
|
Параметры ламп обычного исполнения |
|||||||
|
50 |
50 |
Е27 |
Цпр |
10 |
1800 |
7 |
60662-МЭК-1180 |
|
Эпр |
60662-МЭК-1190 |
||||||
|
Эдиф |
|||||||
|
70 |
70 |
Цпр |
60662-МЭК-1120 |
||||
|
Эпр |
60662-МЭК-1130 |
||||||
|
Эдиф |
|||||||
|
100 |
100 |
Е40 |
Эдиф |
3300 |
5 |
60662-МЭК-1080 |
|
|
Цпр |
5 |
60662-МЭК-1070 |
|||||
|
150 |
150 |
Цпр |
60662-МЭК-1050 |
||||
|
Эдиф |
60662-МЭК-1060 |
||||||
|
250 |
250 |
Цпр |
60662-МЭК-1010 |
||||
|
Эдиф |
60662-МЭК-1020 |
||||||
|
400 |
392 |
Цпр |
4 |
60662-МЭК-1030 |
|||
|
400 |
Эдиф |
60662-МЭК-1040 |
|||||
|
600 |
600 |
Е40 |
Цпр |
10 |
3600 |
5 |
- |
|
1000 |
960 |
Цпр |
- |
60662-МЭК-1150 |
|||
|
1000 |
Эдиф |
60662-МЭК-1160 |
|||||
|
Параметры ламп с улучшенной цветностью |
|||||||
|
150 |
148 |
Е40 |
Цпр |
5 |
3300 |
7 |
60662-МЭК-2100 |
|
Эдиф |
60662-МЭК-2110 |
||||||
|
250 |
245 |
Цпр |
60662-МЭК-2120 |
||||
|
Эдиф |
60662-МЭК-2130 |
||||||
|
400 |
380 |
Цпр |
4 |
60662-МЭК-2140 |
|||
|
385 |
Эдиф |
7 |
60662-МЭК-2150 |
||||
|
Параметры ламп с повышенным напряжением зажигания |
|||||||
|
250 |
255 |
Е40 |
Цпр |
10 |
3300 |
5 |
60662-МЭК-4010 |
|
Эдиф |
5 |
7 |
60662-МЭК-4020 |
||||
|
400 |
400 |
Цпр |
10 |
4 |
60662-МЭК-4030 |
||
|
410 |
Эдиф |
60662-МЭК-4040 |
|||||
|
1) Фиксированные настройки и требования приведены в разделе 8 и приложении D. Следует избегать перемены полярности тока. 2) Характеристики импульса, обеспечиваемые ЗУ, - по разделу 8 и приложению А. Примечание - Номера листов из примененного стандарта МЭК 60662, содержащих значения характеристик зажигания и разгорания для ламп с внешним ЗУ, приведены для информации пользователя. |
|||||||
8.1.2 Лампы с внутренним зажигающим устройством
Значение времени зажигания, измеряемого с момента приложения испытательного напряжения, не должно превышать наибольшего, приведенного в таблице 3.
Таблица 3 - Для ламп с внутренним ЗУ
|
Тип цоколя |
Тип колбы |
Характеристика зажигания, не более |
Характеристика разгорания, не более |
Номер листа МЭК 60662 |
|
|
Время зажигания, с |
Время, необходимое для достижения на лампе напряжения не менее 50 В, мин |
||||
|
50 |
Е27 |
Эпр |
601) |
72) |
60662-МЭК-1170 |
|
Эдиф |
|||||
|
70 |
Эпр |
60 |
7 |
60662-МЭК-1110 |
|
|
Эдиф |
|||||
|
150 |
Е40 |
Цпр |
60 |
5 |
60662-МЭК-1050 |
|
Эдиф |
60662-МЭК-1060 |
||||
|
250 |
Цпр |
60662-МЭК-1010 |
|||
|
Эдиф |
60662-МЭК-1020 |
||||
|
400 |
Цпр |
4 |
60662-МЭК-1030 |
||
|
Эдиф |
60662-МЭК-1040 |
||||
|
1) С момента включения, после размыкания внутреннего стартера. 2) После зажигания. Примечание - Номера листов из примененного стандарта МЭК 60662, содержащих значения характеристик зажигания и разгорания для ламп с внутренним ЗУ, приведены для информации пользователя. |
|||||
Перед испытанием лампы не менее 10 ч подвергают отжигу с соответствующим ПРА по ГОСТ Р МЭК 923 и охлаждают не менее 1 ч.
Напряжение на лампе должно достигать наименьшего значения за время, указанное в таблицах 2 и 3.
Перед начальными измерениями лампы подвергают отжигу в течение 100 ч. При этом допускается использовать ПРА по ГОСТ Р МЭК 923.
Электрические параметры ламп должны соответствовать приведенным в таблице 1. Световые и цветовые параметры устанавливают в технических условиях на лампы конкретных типов. Измерения электрических и световых параметров проводят по ГОСТ 17616 или приложению Е, цветовых - по ГОСТ 23198.
При измерении электрических параметров внешнее ЗУ должно быть отключено от цепи лампы.
Лампы должны стабильно работать с ДОИ при расчетном питающем напряжении до достижения напряжения погасания (значения которого приведены в таблице 1), при необходимости создаваемого искусственным путем. Лампа не должна гаснуть при падении питающего напряжения в течение 0,5 с со 100 % до 90 % расчетного значения и воздействии его в течение не менее 5 с.
Характеристики ДОИ должны соответствовать указанным в таблице 4.
Таблица 4
|
Тип ЗУ |
Тип цоколя |
Тип колбы |
Частота, Гц |
Характеристики ДОИ при напряжении 220 В |
Номер листа МЭК 60662 |
|||
|
Ток калибровки, А |
Отношение напряжения к току |
Коэффициент мощности |
||||||
|
Для ламп обычного исполнения |
||||||||
|
50 |
1 |
Е27 |
Цпр |
50 - 60 |
0,76 |
246,0 |
0,075 ± 0,005 |
60662-МЭК-1180 |
|
2 |
Эпр |
60662-МЭК-1170 |
||||||
|
Эдиф |
||||||||
|
50 |
1 |
Е27 |
Эпр |
50 - 60 |
0,76 |
246,0 |
0,075 ± 0,005 |
60662-МЭК-1190 |
|
Эдиф |
||||||||
|
70 |
Цпр |
50 |
0,98 |
188,0 |
60662-МЭК-1120 |
|||
|
2 |
Эпр |
60662-МЭК-1110 |
||||||
|
Эдиф |
||||||||
|
1 |
Эпр |
60662-МЭК-1130 |
||||||
|
Эдиф |
||||||||
|
100 |
Е40 |
Эдиф |
1,20 |
148,0 |
0,06 ± 0,005 |
60662-МЭК-1080 |
||
|
Цпр |
60662-МЭК-1070 |
|||||||
|
150 |
1 и 2 |
Цпр |
1,80 |
99,0 |
60662-МЭК-1050 |
|||
|
Эдиф |
60662-МЭК-1060 |
|||||||
|
250 |
Цпр |
3,00 |
60,0 |
60662-МЭК-1010 |
||||
|
Эдиф |
60662-МЭК-1020 |
|||||||
|
400 |
Цпр |
4,60 |
39,0 |
60662-МЭК-1030 |
||||
|
Эдиф |
60662-МЭК-1040 |
|||||||
|
600 |
1 |
Цпр |
6,10 |
27,8 |
- |
|||
|
1000 |
50 - 60 |
10,30 |
16,8 |
60662-МЭК-1150 |
||||
|
Эдиф |
60662-МЭК-1160 |
|||||||
|
Для ламп с улучшенной цветностью |
||||||||
|
150 |
1 |
Е40 |
Цпр |
50 |
1,8 |
99,0 |
0,06 ± 0,005 |
60662-МЭК-2100 |
|
Эдиф |
60662-МЭК-2110 |
|||||||
|
250 |
Цпр |
3,0 |
60,0 |
60662-МЭК-2120 |
||||
|
Эдиф |
60662-МЭК-2130 |
|||||||
|
400 |
Цпр |
4,6 |
38,6 |
60662-МЭК-2140 |
||||
|
Эдиф |
39,0 |
60662-МЭК-2150 |
||||||
|
Для ламп с повышенным напряжением зажигания |
||||||||
|
250 |
1 |
Е40 |
Цпр |
50 |
3,0 |
60,0 |
0,06 ± 0,005 |
60662-МЭК-4010 |
|
Эдиф |
60662-МЭК-4020 |
|||||||
|
400 |
Цпр |
4,6 |
39,0 |
60662-МЭК-4030 |
||||
|
Эдиф |
60662-МЭК-4040 |
|||||||
|
Примечание - Номера листов из примененного стандарта МЭК 60662, содержащих значения характеристик ДОИ для ламп, приведены для информации пользователя. |
||||||||
Стабильность светового потока и продолжительность горения должны соответствовать установленным в технических условиях на лампы конкретного типа.
Методы испытаний на стабильность светового потока и продолжительность горения приведены в приложении F.
Для обеспечения надежного зажигания и рабочего режима ламп параметры пускорегулирующего аппарата и зажигающего устройства должны соответствовать указанным в таблице 5 при напряжении на ПРА от 92 % до 106 % расчетного, если не указано иное (эти требования не являются частью требований к лампам).
Настройки базового ЗУ должны быть заданы только для испытания лампы на зажигание и не определяют характеристик непосредственно ЗУ.
При расчете ЗУ необходимо учитывать ослабление импульса из-за емкостной нагрузки кабеля.
При расчете ПРА используют информацию относительно максимального значения емкости ЗУ для достижения заданных требований к зажиганию лампы.
9.2.1 Коэффициент амплитуды тока
Коэффициент амплитуды тока должен удовлетворять требованиям ГОСТ Р МЭК 923.
9.2.2 Предельные рабочие характеристики ламп для расчета ПРА
Диаграммы предельных рабочих значений напряжения на лампе и мощности, при которых лампа должна сохранять работоспособность, и типичная характеристика ПРА приведены на рисунках Н.1 - Н.17 приложения Н для ламп каждого типа.
Наименьшее значение напряжения (левая сторона диаграммы) - это характеристическая кривая лампы, напряжение на которой при расчетной мощности считают минимально допустимым.
Наибольшее значение напряжения (правая сторона диаграммы) - это характеристическая кривая, имеющая высокое напряжение, достаточное для лампы:
a) с максимальным напряжением в начале срока службы;
b) с повышением напряжения в течение срока службы;
c) с максимальным повышением напряжения при помещении лампы в светильник.
Линии предельных значений мощности (верх и низ диаграммы) выбраны по влиянию мощности лампы на такие характеристики, как световой поток, стабильность светового потока, срок службы, разгорание лампы и т.д.
Предельные значения питающего напряжения для работы лампы с индуктивным ПРА должны соответствовать:
1) для расчетных питающих напряжений от 100 до 150 В:
- от 95 % до 105 % расчетного напряжения ПРА;
2) для расчетных питающих напряжений от 220 до 240 В:
- нижним пределом питающего напряжения является 95 % расчетного напряжения ПРА;
- верхним пределом питающего напряжения являются:
для ламп мощностью менее 150 Вт - расчетное напряжение ПРА + 7 В;
для ламп мощностью 150 Вт и более - расчетное напряжение ПРА + 10 В.
Допускаются кратковременные отклонения выше этого предела.
Лампы не должны работать постоянно при питающем напряжении, значение которого равно предельному верхнему значению.
Для обеспечения надежного зажигания и рабочего режима ламп светильники должны быть рассчитаны с учетом информации, указанной в таблице 5.
Таблица 5
|
Расчетная мощность, Вт |
Тип ЗУ |
Тип цоколя |
Тип колбы |
Информация для расчета ПРА и ЗУ1) |
Номер рисунка по приложению Н |
Информация для расчета светильника2) |
Номер листа МЭК |
|||
|
Ток разгорания лампы (действующее значение), А |
Амплитуда импульса (пиковая), В, не более |
Наибольшее повышение напряжения на лампе, В |
||||||||
|
Не менее |
Не более |
|||||||||
|
Параметры ламп обычного исполнения |
||||||||||
|
50 |
50 |
2 |
Е27 |
Эпр |
0,76 |
1,52 |
2500 |
Н.9 |
5 |
60662-МЭК-1170 |
|
Эдиф |
||||||||||
|
1 |
Цпр |
60662-МЭК-1180 |
||||||||
|
Эпр |
60662-МЭК-1190 |
|||||||||
|
Эдиф |
||||||||||
|
70 |
70 |
2 |
Эпр |
0,98 |
1,96 |
Н.6 |
60662-МЭК-1110 |
|||
|
Эдиф |
||||||||||
|
1 |
Цпр |
60662-МЭК-1120 |
||||||||
|
Эпр |
60662-МЭК-1130 |
|||||||||
|
Эдиф |
||||||||||
|
100 |
100 |
Е40 |
Эдиф |
1,2 |
2,4 |
5000 |
Н.5 |
53) |
60662-МЭК-1080 |
|
|
Цпр |
73) |
60662-МЭК-1070 |
||||||||
|
150 |
150 |
1 или 2 |
Цпр |
1,8 |
3,0 |
Н.4 |
7 |
60662-МЭК-1050 |
||
|
Эдиф |
53) |
60662-МЭК-1060 |
||||||||
|
250 |
250 |
Цпр |
3,0 |
5,2 |
Н.1 |
10 |
60662-МЭК-1010 |
|||
|
Эдиф |
60662-МЭК-1020 |
|||||||||
|
400 |
392 |
Цпр |
4,6 |
7,5 |
Н.2 |
12 |
60662-МЭК-ЮЗО |
|||
|
400 |
Эдиф |
Н.3 |
7 |
60662-МЭК-1040 |
||||||
|
600 |
605 |
1 |
Цпр |
6,1 |
9,0 |
50004) |
Н.17 |
7 |
- |
|
|
1000 |
960 |
Цпр |
10,3 |
15,0 |
5000 |
Н.7 |
20 |
60662-МЭК-1150 |
||
|
1000 |
Эдиф |
Н.8 |
10 |
60662-МЭК-1160 |
||||||
|
Параметры ламп обычного исполнения |
||||||||||
|
150 |
148 |
1 |
Е40 |
Цпр |
1,8 |
3,0 |
50004) |
Н.10 |
7 |
60662-МЭК-2100 |
|
Эдиф |
53) |
60662-МЭК-2110 |
||||||||
|
250 |
245 |
Цпр |
3,0 |
5,2 |
Н.11 |
10 |
60662-МЭК-2120 |
|||
|
Эдиф |
7 |
60662-МЭК-2130 |
||||||||
|
400 |
380 |
Цпр |
4,6 |
7,5 |
Н.12 |
12 |
60662-МЭК-2140 |
|||
|
385 |
Эдиф |
Н.13 |
7 |
60662-МЭК-2150 |
||||||
|
Параметры ламп с повышенным напряжением зажигания |
||||||||||
|
250 |
255 |
1 |
Е40 |
Цпр |
2,95 |
5,2 |
5000 |
Н.14 |
10 |
60662-МЭК-4010 |
|
Эдиф |
60662-МЭК-4020 |
|||||||||
|
400 |
400 |
Цпр |
4,5 |
7,5 |
Н.15 |
12 |
60662-МЭК-4030 |
|||
|
410 |
Эдиф |
4,4 |
Н.16 |
7 |
60662-МЭК-4040 |
|||||
|
1) Фиксированные настройки и требования к зажиганию ламп приведены в разделе 8 и приложении D. Следует избегать перемены полярности тока. 2) Рабочее положение ламп горизонтальное, если иное не указано в технических условиях на лампы конкретного типа. 3) В стадии рассмотрения. 4) ПРА должен быть согласован с фактическим питающим напряжением в пределах 2,5 % этого напряжения для обеспечения заданных цветовых характеристик и продолжительности горения. Примечание - Номера листов из примененного стандарта МЭК 60662, содержащих информацию для расчета ПРА, ЗУ и светильника, приведены для информации пользователя. |
||||||||||
Данная информация относится к проверке конструкции светильника с целью гарантировать, что условия в светильнике не вызовут преждевременного выхода из строя ламп, соответствующих требованиям настоящего стандарта.
Эта проверка не является требованием к лампе.
Повышение напряжения на лампе, определенное в соответствии с приложением С, не должно быть более указанного в таблице 1.
Испытания - по приложению С.
Температура на колбе лампы, измеренная в любой точке, не должна превышать: - для ламп, мощностью:
|
50 - 70 Вт: |
250 °С; |
|
100 - 150 Вт: |
350 °С; |
|
250 - 1000 Вт: |
400 °С; |
|
600 Вт: |
480 °С. |
Измерения проводят при расчетной мощности.
Примечания
1 Эти значения неприменимы для ламп с кварцевыми внешними колбами.
2 Ограничения в 10.2 являются предупреждением. Эти ограничения обусловлены материалами лампы. Если светильник является причиной достижения лампой этих температур, то вероятно, что ограничение повышения напряжения по 10.1 превышено.
Требования к наибольшим контурам ламп предназначены для руководства разработчиков светильников и основаны на лампах наибольших размеров, включая требования к несоосности колбы с цоколем, и приведены в таблице 1 и приложении G.
Для механической установки ламп, соответствующих настоящему стандарту, необходимо предусмотреть в светильнике свободное пространство, основанное на наибольших контурах ламп.
Механическая приемка цоколя и прилегающей части горла лампы в патроне обеспечивается соответствием ламп калибрам для испытания на контактирование по ГОСТ 28108.
Форма волны, полученная с базовым зажигающим устройством

А - разница потенциалов между максимальной амплитудой импульса и
нулевым уровнем D напряжения холостого хода; В = 90 % А;
испытательного
напряжения (действующее значение), заданного в таблице 2 и 8.1.2; D -
нулевой уровень напряжения; Т2
- длительность импульса
Рисунок А.1 - Форма волны - положительный импульс в течение положительного полупериода
Длительность импульса Т2 = 2 мкс при В = 90 % А для ламп любого типа.
Число повторений импульса для ламп:
- номинальной мощностью 50 и 70 Вт - 2 раза за период;
- номинальной мощностью 100, 150, 250, 400 и 600 Вт - 1 раз за период.
Угол фазы (положение) напряжения холостого хода для ламп:
- номинальной мощностью 50 и 70 Вт - в пределах один в 90 и один в 270 электрических градусов;
- номинальной мощностью 100, 150, 250, 400 и 600 Вт - в пределах 90 электрических градусов.
В.1 На рисунке В.1 графически представлены обозначения размеров для ламп с трубчатой колбой.
А - длина дуги; Н - высота светового центра; D - диаметр колбы; L - полная длина
Рисунок В.1 - Лампа с трубчатой колбой
В.2 На рисунке В.2 графически представлены обозначения размеров для ламп с эллипсоидной колбой.
А - длина дуги; Н - высота светового центра; D - диаметр колбы; L - полная длина
Рисунок В.2 - Лампа с эллипсоидной колбой
С.1 Общие условия испытаний
С.1.1 Отжиг и выборка ламп
Лампы отжигают с ПРА, удовлетворяющими требованиям 9.2.2, в течение 100 ч в том же рабочем положении, в котором их используют в испытуемом светильнике.
После отжига ламп проводят измерения при расчетном питающем напряжении с соответствующим ДОИ при температуре окружающей среды (25 ± 5) °С.
Для испытания на повышение напряжения отбирают не менее пяти ламп, значения напряжения на которых находятся в пределах наименьших и наибольших значений, приведенных в таблице 1.
С.1.2 Пускорегулирующий аппарат, используемый при измерении повышения напряжения
ПРА должен быть того же типа, что и используемый в испытуемом светильнике и удовлетворяющий требованиям 9.2.2.
ПРА, используемый для измерения на открытом воздухе и в светильнике, должен быть один и тот же и работать в обоих случаях, предусмотренных условиями монтажа.
С.1.3 Питающее напряжение и частота
Значения питающего напряжения и частоты в течение стабилизации и измерения должны быть расчетными значениями ПРА, указанными в С.1.2.
Во время стабилизации питающее напряжение должно поддерживаться постоянным в пределах ±1,0 %, а при измерении напряжение должно быть регулируемым в пределах ±0,5 %.
Во всех случаях частота должна быть поддерживаемой в пределах ±0,5 % расчетного значения.
С.1.4 Приборы
Применяемые приборы должны быть рассчитаны на измерение действующего значения напряжения на лампе и иметь полное электрическое сопротивление не менее 100000 Ом. В течение испытания должны быть использованы одни и те же приборы.
С.1.5 Расположение лампы
При измерении напряжения на лампе в светильнике и вне его рабочее положение и осевая ориентация лампы должны быть одинаковыми. По этой причине указывают правильное рабочее положение соответствующей меткой.
Для светильников, способных работать в нескольких рабочих положениях, необходимо проверить только одно рабочее положение. Это рабочее положение должно быть чаще всего используемым положением.
С.1.6 Минимизированное спокойное состояние лампы
После каждого выключения лампы выдерживают в спокойном состоянии в течение не менее 60 мин до перемещения в другое место.
С.2 Метод измерения
С.2.1 Лампа должна работать на открытом воздухе при температуре окружающей среды (25 ± 5) °С в течение не менее 60 мин и до стабилизации лампы.
Стабилизация определяется тем, что при контроле электрических параметров лампы через каждые 10 - 15 мин три последовательных измерения показывают разницу напряжений в 1 % или менее.
С.2.2 После охлаждения лампа должна быть перемещена в светильник.
С.2.3 Лампа должна проработать в светильнике при температуре (25 ± 5) °С в течение не менее 60 мин и до стабилизации лампы.
Определение стабилизации - по С.2.1.
С.2.4 Окончательное значение напряжения на лампе, зафиксированное в С.2.1, вычитают из окончательного значения, зафиксированного в С.2.3. Эту разницу принимают за повышение напряжения отдельной лампы и фиксируют.
С.2.5 Методика по С.2.1 - С.2.4 должна быть повторена для всех испытуемых ламп.
С.3 Интерпретация измерений напряжений на лампе
С.3.1 Из фиксированных значений повышений напряжений для каждой отдельной лампы, как указано в С.2.4, определяют наибольшие и наименьшие значения повышений напряжения.
С.3.2 Подсчитывают среднее значение повышения напряжения, исключая наибольшие и наименьшие значения, определенные в С.3.1.
Полученное значение среднего повышения напряжения сравнивают со значением, приведенным в таблице 1.
Таблица D.1
|
Емкость между ЗУ и лампой1), пФ |
Максимальная |
15 |
|
Характеристики импульса зажигания |
||
|
Форма волны |
|
Прямоугольная |
|
Направление |
|
Положительное |
|
1) ЗУ может обеспечивать быстрое время нарастания. Однако время нарастания - это функция емкости компонентов между ЗУ и лампой. Поэтому емкость должна быть ограничена. |
||
Вышеприведенные настройки и требования относятся к натриевым лампам высокого давления всех типов.
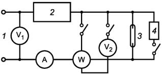
Е.1 Общие положения
Лампы испытывают по схеме, указанной на рисунке Е.1, при температуре окружающей среды от 20 °С до 30 °С при номинальной частоте 50 Гц.
1 - источник питания; 2 - ДОИ; 3 - лампа; 4 - ЗУ (тип 1)
Рисунок Е.1 - Схема измерения параметров ламп
Лампы должны работать на открытом воздухе или как установлено в технических условиях на лампы конкретного типа.
Лампы должны работать в горизонтальном испытательном положении, если иное не указано в технических условиях на лампы конкретного типа.
Присоединения контактов лампы с контактными зажимами ПРА не должны изменяться в течение всего испытания. Фазу источника питания и импульсного напряжения прикладывают к центральному контакту.
Для этих измерений используют ДОИ с характеристиками, указанными в таблице 4, и удовлетворяющие общим требованиям ГОСТ Р МЭК 923.
До снятия начальных показаний лампы отжигают в течение 100 ч с ПРА, удовлетворяющим требованиям ГОСТ Р МЭК 923, при расчетных значениях напряжения и частоты ПРА. Питающее напряжение не должно отклоняться более чем на ±10 %, а частота - более чем на ±1 Гц.
Примечание - Разрешенные допуски выбраны для исключения необходимости иметь стабилизированное напряжение и возможности использовать стандартный сетевой источник питания.
Е.2 Источник питания
Питающее напряжение V1 и частота должны быть равны расчетным значениям ДОИ с допуском ±0,5 %.
Форма волны питающего напряжения должна быть синусоидальной. Полная гармоническая составляющая не должна превышать 3 % основной. Полную гармоническую составляющую определяют как среднеквадратичную сумму отдельных гармонических составляющих, принимая основную за 100 %.
Примечание - При этом источник питания должен иметь достаточную мощность, а цепь источника питания должна иметь достаточно низкое полное сопротивление по сравнению с полным сопротивлением ПРА, что необходимо соблюдать при всех условиях во время измерения.
В период стабилизации питающее напряжение и частота не должны отклоняться более чем на ±0,5 %, этот допуск уменьшается до ±0,2 % в момент измерения.
Е.3 Приборы
Применяемые приборы должны быть рассчитаны на измерение действующего значения напряжения и не должны иметь ошибок в форме волны с установленной точностью.
Цепи приборов, измеряющих напряжение, при присоединении к лампе не должны потреблять более 3 % расчетного тока лампы.
Приборы, присоединенные последовательно с лампой, должны иметь достаточно низкое полное сопротивление, чтобы падение напряжения не превышало 2 % расчетного напряжения на лампе.
Е.4 Измерение
При измерении напряжения на лампе V2 цепь измерения напряжения ваттметра должна быть разомкнута, а цепь измерения тока - зашунтирована при необходимости. Поправку на потребление мощности ваттметром не вносят, так как цепь присоединяют с ламповой стороны цепи измерения тока.
При измерении светового потока цепь вольтметра лампы и цепь измерения напряжения ваттметра должны быть разомкнуты, а амперметр и цепь измерения тока ваттметра - зашунтированы при необходимости.
Примечание - Ссылка на отсутствие поправки потребления мощности цепью напряжения ваттметра получена из эмпирического опыта, который показывает, что в большинстве случаев при одном и том же питающем напряжении упомянутое потребление приблизительно компенсируется уменьшением потребления лампой из-за параллельного присоединения цепи напряжения ваттметра.
При сомнении возможна оценка компенсационной ошибки путем повторения измерений с другими значениями электрического сопротивления, параллельного лампе.
Это достигается добавлением сопротивлений параллельно лампе и фиксированием каждый раз мощности, измеренной ваттметром. Затем возможно экстраполировать результаты для определения истинной мощности в отсутствие любой параллельной нагрузки.
Лампа должна работать до стабилизации электрических параметров до снятия любых показаний.
F.1 Общие положения
Световой поток в заданное время продолжительности горения измеряют в соответствии с приложением Е.
При испытании на продолжительность горения лампы должны работать следующим образом.
Лампы должны работать на открытом воздухе при температуре окружающей среды от 15 °С до 50 °С. Следует избегать чрезмерных сквозняков и не подвергать лампы сильным ударам и вибрациям.
Лампы должны работать в горизонтальном испытательном положении, если иное не указывают в технических условиях на лампы конкретного типа.
Присоединения контактов лампы с контактными зажимами ПРА не должны изменяться в течение всего испытания. Фазу источника питания и импульсного напряжения прикладывают к центральному контакту.
Лампы выключают на 1 ч после каждых 11 ч работы.
F.2 Требования к пускорегулирующему аппарату и зажигающему устройству
Используемый ПРА должен удовлетворять требованиям ГОСТ Р МЭК 923.
Примечание - Выбор типа ПРА для испытаний остается открытым, поскольку ПРА используемого типа может повлиять на результаты испытания. Рекомендуется объявлять тип используемого ПРА. При сомнении рекомендуется использовать ПРА индуктивного типа, поскольку ПРА такого типа имеет наименьшее число параметров, способных повлиять на результаты.
Тип используемого ЗУ должен удовлетворять требованиям [1].
Примечание - Выбор типа (перекрываемый, полупараллельный и т.д.) ЗУ для испытаний остается открытым, поскольку ЗУ используемого типа может повлиять на результаты испытаний. Рекомендуется указывать тип используемого ЗУ.
При испытании на продолжительность горения значения питающего напряжения и частоты не должны отличаться более чем на 2 % от их расчетных значений для используемого ПРА.
G.1 Рекомендации по использованию наибольших контуров ламп
Наибольшие контуры ламп приведены на рисунках G.1, G.2, G.3, G.4.
|
Рисунок G.1 - Трубчатая лампа мощностью 250 Вт |
Рисунок G.2 - Эллипсоидная лампа мощностью 250 Вт |
|
Рисунок G.3 - Трубчатая лампа мощностью 400 Вт |
Рисунок G.4 - Эллипсоидная лампа мощностью 400 Вт |
На рисунках Н.1 - Н.16 графически представлены предельные рабочие характеристики ламп для информации разработчиков ПРА.
Характеристические кривые типичных ПРА при расчетном напряжении источника питания показаны на диаграммах пунктирной линией.
____________
* Для номинальных питающих напряжений в диапазоне от 220 до 250 В наибольшая мощность ламп не должна превышать расчетную более чем на 20 %.
Рисунок Н.1 - Предельные рабочие характеристики
ламп номинальной мощностью 250 Вт
с прозрачной трубчатой или эллипсоидной с диффузным покрытием колбой

____________
* Для номинальных питающих напряжений в диапазоне от 220 до 250 В наибольшая мощность ламп не должна превышать расчетную более чем на 20 %.
Рисунок Н.2 - Предельные рабочие
характеристики ламп номинальной
мощностью 400 Вт с прозрачной трубчатой колбой

____________
* Для номинальных питающих напряжений в диапазоне от 220 до 250 В наибольшая мощность ламп не должна превышать расчетную более чем на 20 %.
Рисунок Н.3 - Предельные рабочие
характеристики ламп номинальной
мощностью 400 Вт с эллипсоидной с диффузным покрытием колбой

Рисунок Н.4 - Предельные рабочие
характеристики ламп номинальной мощностью 150 Вт
с прозрачной трубчатой или эллипсоидной с диффузным покрытием колбой

Рисунок Н.5 - Предельные рабочие
характеристики ламп номинальной мощностью 100 Вт
с трубчатой прозрачной или эллипсоидной с диффузным покрытием колбой

Рисунок Н.6 - Предельные рабочие
характеристики ламп номинальной мощностью 70 Вт
с прозрачной трубчатой, эллипсоидной прозрачной или с диффузным покрытием
колбой

Рисунок Н.7 - Предельные рабочие
характеристики ламп номинальной
мощностью 1000 Вт с прозрачной трубчатой колбой

Рисунок Н.8 - Предельные рабочие
характеристики ламп номинальной
мощностью 1000 Вт с эллипсоидной с диффузным покрытием колбой

Рисунок Н.9 - Предельные рабочие
характеристики ламп номинальной мощностью 50 Вт
с трубчатой прозрачной, эллипсоидной прозрачной или с диффузным покрытием
колбой

Рисунок Н.10 - Предельные рабочие
характеристики ламп улучшенной цветности
номинальной мощностью 150 Вт с прозрачной трубчатой или эллипсоидной
с диффузным покрытием колбой

Рисунок Н.11 - Предельные рабочие
характеристики ламп улучшенной цветности
номинальной мощностью 250 Вт с прозрачной трубчатой или эллипсоидной
с диффузным покрытием колбой

Рисунок Н.12 - Предельные рабочие
характеристики ламп улучшенной
цветности номинальной мощностью 400 Вт с прозрачной трубчатой колбой

Рисунок Н.13 - Предельные рабочие
характеристики ламп улучшенной цветности
номинальной мощностью 400
Вт с эллипсоидной с диффузным покрытием колбой

Рисунок Н.14 - Предельные рабочие
характеристики ламп номинальной
мощностью 250 Вт с повышенным напряжением зажигания, с прозрачной трубчатой
или эллипсоидной с диффузным покрытием колбой

Рисунок Н.15 - Предельные рабочие
характеристики ламп номинальной мощностью
400 Вт с повышенным напряжением зажигания, с прозрачной трубчатой колбой
Рисунок Н.16 - Предельные рабочие
характеристики ламп номинальной
мощностью 400 Вт с повышенным напряжением зажигания, с эллипсоидной
с диффузным покрытием колбой
Рисунок Н.17 - Предельные рабочие
характеристики ламп номинальной
мощностью 600 Вт с трубчатой прозрачной колбой
Таблица J.1
|
Структура международного стандарта МЭК 60662:2002 |
Структура настоящего стандарта |
||
|
Раздел 1 Общие положения |
|||
|
Приложения |
А |
Приложения |
|
|
В |
|||
|
С |
- |
||
|
D |
|||
|
Е |
- |
||
|
F |
|||
|
G |
|||
|
Н |
|||
|
I |
|||
|
Раздел 2 |
|||
Таблица К.1
|
Обозначение ссылочного национального стандарта Российской Федерации |
Обозначение и наименование ссылочного международного стандарта и условное обозначение степени его соответствия ссылочному национальному стандарту |
|
ГОСТ Р МЭК 923-98 |
МЭК 60923:1995 «Устройства для ламп. Аппараты пускорегулирующие для разрядных ламп (кроме трубчатых люминесцентных ламп). Требования к рабочим характеристикам» (IDT) |
|
ГОСТ Р 52713-2007 (МЭК 62035:1999) |
МЭК 62035:1999 «Лампы разрядные (кроме люминесцентных ламп). Требования безопасности» (MOD) |
|
ГОСТ 17616-82 |
- |
|
ГОСТ 23198-94 |
- |
|
ГОСТ 28108-89 |
МЭК 60061-1:1969 «Цоколи и патроны ламп, а также калибры для проверки их взаимозаменяемости и безопасности. Часть 1. Цоколи» (NEQ) МЭК 60061-3:1969 «Цоколи и патроны ламп, а также калибры для проверки их взаимозаменяемости и безопасности. Часть 3. Калибры» (NEQ) |
|
Примечание - В настоящей таблице использованы следующие условные обозначения степени соответствия стандартов: - IDT - идентичные стандарты; - MOD - модифицированные стандарты; - NEQ - неэквивалентные стандарты. |
|
|
МЭК 61347-2-1-2006 (IEC 61347-2-1:2006) |
Устройства управления лампами. Часть 2-1. Частные требования к пусковым устройствам (кроме стартеров тлеющего разряда) (Lamp controlgear - Part 2-1: Particular requirements for starting devices (other than glow starters) |
|
Ключевые слова: лампы натриевые высокого давления, эксплуатационные требования |