Стандарт устанавливает общие требования пожарной безопасности к объектам защиты различного назначения на всех стадиях их жизненного цикла: исследование, разработка нормативных документов, конструирование, проектирование, изготовление, строительство, выполнение услуг (работ), испытание, закупка продукции по импорту, продажа продукции (в том числе на экспорт), хранение, транспортирование, установка, монтаж, наладка, техническое обслуживание, ремонт (реконструкция), эксплуатация (применение) и утилизация. Для объектов, не соответствующих действующим нормам, стандарт устанавливает требования к разработке проектов компенсирующих средств и систем обеспечения пожарной безопасности на стадиях строительства, реконструкции и эксплуатации объектов.
| Обозначение: | ГОСТ 12.1.004-91* |
| Название рус.: | ССБТ. Пожарная безопасность. Общие требования |
| Статус: | действующий |
| Заменяет собой: | ГОСТ 12.1.004-85 |
| Дата актуализации текста: | 01.01.2009 |
| Дата добавления в базу: | 10.11.2009 |
| Дата введения в действие: | 01.07.1992 |
| Разработан: | Министерство внутренних дел СССР Минхимпром СССР |
| Утвержден: | Госстрой СССР (14.06.1991) |
| Опубликован: | ИПК Издательство стандартов № 2002<br>ИПК Издательство стандартов № 1996<br>Издательство стандартов № 1991 |
СИСТЕМАСТАНДАРТОВ БЕЗОПАСНОСТИ ТРУДА
ГОСТ 12.1.004-91
ИПКИЗДАТЕЛЬСТВО СТАНДАРТОВ
Москва
1996
Содержание
ГОСУДАРСТВЕННЫЙ СТАНДАРТ СОЮЗА ССР
| Система стандартов безопасности труда ПОЖАРНАЯ БЕЗОПАСНОСТЬ Общие требования Occupational safety standards system. | ГОСТ |
Дата введения 01.07.92
Настоящий стандарт устанавливает общие требованияпожарной безопасности кобъектам защиты различного назначения на всех стадиях их жизненного цикла: исследование, разработка нормативных документов,конструирование, проектирование, изготовление,строительство, выполнение услуг (работ), испытание,закупка продукции по импорту, продажа продукции (в том числе на экспорт), хранение, транспортирование, установка, монтаж, наладка, техническоеобслуживание, ремонт (реконструкция), эксплуатация (применение) и утилизация. Для объектов, не соответствующихдействующим нормам, стандарт устанавливает требования к разработке проектов компенсирующих средств и систем обеспечения пожарной безопасности на стадиях строительства,реконструкции и эксплуатации объектов.
Требования стандарта являются обязательными.
Термины, применяемые в стандарте, и их пояснения приведены в приложении 1.
(Измененная редакция, Изм. № 1).
1.1. Пожарная безопасность объекта должнаобеспечиваться системамипредотвращения пожара и противопожарной защиты, в том числе организационно-техническими мероприятиями.
Системы пожарной безопасности должныхарактеризоваться уровнем обеспечения пожарной безопасности людей и материальных ценностей,а также экономическими критериями эффективностиэтих систем дляматериальных ценностей, с учетом всех стадий(научная разработка, проектирование, строительство, эксплуатация) жизненного цикла объектов и выполнять одну из следующихзадач:
исключать возникновение пожара;
обеспечивать пожарную безопасность людей;
обеспечивать пожарнуюбезопасность материальных ценностей;
обеспечивать пожарную безопасность людей и материальных ценностей одновременно.
1.2. Объекты должны иметьсистемы пожарной безопасности, направленные напредотвращение воздействия на людей опасных факторов пожара, в том числе ихвторичных проявлений на требуемом уровне.
Требуемый уровень обеспечения пожарнойбезопасности людей с помощью указанных системдолжен быть не менее 0,999999 предотвращениявоздействия опасных факторов в год в расчете на каждого человека, а допустимый уровень пожарной опасности длялюдей должен быть неболее 10-6 воздействия опасных факторов пожара, превышающих предельнодопустимые значения, вгод в расчете на каждого человека.
Метод определения уровня обеспечения пожарной безопасности людей приведенв приложении 2*.
__________
* Приведенные в приложениях 2, 3 и 5 стандарта методы могут изменяться с согласияголовной организации в области пожарной безопасности - ВНИИПО МВД СССР.
1.3. Объекты, пожары на которых могутпривести к массовому поражению людей, находящихсяна этих объектах и окружающей территории, опаснымии вредными производственными факторами (по ГОСТ12.0.003), а также опасными факторами пожара и их вторичными проявлениями, должны иметь системы пожарнойбезопасности, обеспечивающие минимально возможнуювероятность возникновения пожара. Конкретные значения минимально возможнойвероятности возникновения пожара определяются проектировщиками и технологамипри паспортизации этих объектов в установленномпорядке.
Перечень таких объектов разрабатывается соответствующими министерствами (ведомствами и т.п.) в установленном порядке.
Метод определения вероятности возникновения пожара (взрыва) впожароопасном объекте приведен в приложении3.
1.4. Объекты, отнесенные к соответствующим категориям по пожарной опасности согласно нормам технологического проектированиядля определения категорий помещений и зданий попожарной и взрывопожарной опасности, должны иметьэкономически эффективные системы пожарной безопасности,
Метод оценки экономической эффективности систем пожарной безопасностиприведена приложении 4.
1.5. Опасными факторами, воздействующими налюдей и материальные ценности, являются:
пламя и искры;
повышенная температура окружающей среды;
токсичные продукты горения и термическогоразложения;
дым;
пониженная концентрация кислорода.
К вторичным проявлениям опасных факторов пожара, воздействующимна людей и материальныеценности, относятся:
осколки, части разрушившихся аппаратов, агрегатов, установок, конструкций;
радиоактивные и токсичные вещества и материалы, вышедшие из разрушенныхаппаратов и установок;
электрический ток, возникший в результате выноса высокого напряжения на токопроводящие части конструкций, аппаратов, агрегатов;
опасные факторы взрыва по ГОСТ12.1.010, происшедшего вследствие пожара;
огнетушащие вещества.
1.6. Классификация объектов по пожарной ивзрывопожарной опасности должна производиться сучетом допустимого уровня их пожарной опасности(требуемого уровня обеспечения пожарной безопасности), а расчеты критериев и показателей ее оценки, в т. ч.вероятности пожара (взрыва), - с учетом массы горючих и трудно-горючих веществи материалов, находящихся на объекте, взрывопожароопасныхзон, образующихся в аварийных ситуациях, и возможного ущерба для людей иматериальных ценностей.
1.7. Вероятность возникновенияпожара от (в) электрического или другого единичноготехнологического изделия или оборудования при их разработке и изготовлении не должна превышатьзначения 10-6 год. Значение величиныдопустимой вероятности пожара при примененииизделий на объектах должно устанавливатьсярасчетом, исходя из требований п. 1.2настоящего стандарта. Метод определения вероятности возникновения пожара от (в)электрических изделий приведен в приложении 5.
1.8. Методики, содержащиеся в стандартах и других нормативно-техническихдокументах и предназначенные для определения показателейпожарной опасности строительных конструкций, их облицовок и отделок, веществ,материалов и изделий (в т.ч. незавершенного производства) должны адекватноотражать реальные условия пожара.
1.9. Перечень и требования к эффективности элементовконкретных систем пожарной безопасности должны устанавливатьсянормативными и нормативно-техническими документами на соответствующие виды объектов.
Примеры расчета показателей эффективности по п.п. 1.2, 1.3,1.7 приведены в приложении 6.
2.1. Предотвращение пожара должно достигатьсяпредотвращением образования горючей среды и (или) предотвращением образования вгорючей среде (или внесения в нее) источников зажигания.
2.2. Предотвращение образования горючей среды должно обеспечиваться однимиз следующих способов или их комбинаций:
максимально возможным применением негорючих и трудногорючихвеществ и материалов;
максимально возможным по условиям технологии и строительства ограничением массыи (или) объема горючих веществ, материалов и наиболее безопасным способом ихразмещения;
изоляцией горючей среды (применениемизолированных отсеков, камер, кабин и т.п.);
поддержанием безопасной концентрации среды в соответствии с нормами и правилами идругими нормативно-техническими, нормативнымидокументами и правиламибезопасности;
достаточной концентрацией флегматизатора ввоздухе защищаемого объема (его составной части);
поддержанием температуры и давления среды, при которых распространение пламени исключается;
максимальной механизацией и автоматизацией технологических процессов,связанных с обращением горючих веществ;
установкой пожароопасного оборудования по возможности в изолированных помещениях или на открытых площадках;
применением устройств защиты производственного оборудования с горючими веществами от повреждений и аварий, установкойотключающих, отсекающих и других устройств.
2.3. Предотвращение образования в горючейсреде источниковзажигания должно достигаться применением одним из следующих способов или их комбинацией:
применением машин, механизмов, оборудования, устройств, при эксплуатации которых не образуются источникизажигания;
применением электрооборудования, соответствующегопожароопасной и взрывоопасной зонам, группе икатегории взрывоопасной смеси в соответствии стребованиями ГОСТ 12.1.011 и Правил устройстваэлектроустановок;
применением в конструкциибыстродействующих средств защитного отключениявозможных источников зажигания;
применением технологического процесса и оборудования,удовлетворяющего требованиям электростатической искробезопасностипо ГОСТ 12.1.018;
устройством молниезащиты зданий, сооружений иоборудования;
поддержанием температуры нагрева поверхностимашин, механизмов, оборудования, устройств, веществ и материалов, которые могутвойти в контакт с горючей средой, ниже предельно допустимой, составляющей 80 %наименьшей температуры самовоспламенения горючего;
исключение возможности появления искрового разряда в горючей среде сэнергией, равной и выше минимальной энергии зажигания;
применением неискрящего инструмента при работе с легковоспламеняющимисяжидкостями и горючими газами;
ликвидацией условий для теплового,химического и (или) микробиологического самовозгорания обращающихся веществ,материалов, изделий и конструкций. Порядок совместного хранениявеществ и материалов осуществляют в соответствии со справочным приложением 7;
устранением контакта с воздухом пирофорныхвеществ;
уменьшением определяющего размера горючейсреды ниже предельно допустимого по горючести;
выполнением действующих строительных норм, правил и стандартов.
2.4. Ограничение массы и (или) объема горючих веществ и материалов, атакже наиболее безопасный способ их размещения должны достигаться применениемодного из следующих способов или их комбинацией:
уменьшением массы и (или) объема горючих веществ и материалов, находящихся одновременно в помещении или на открытыхплощадках;
устройством аварийного слива пожароопасных жидкостей и аварийного стравливания горючих газов из аппаратуры;
устройством на технологическом оборудовании систем противовзрывнойзащиты метод определения безопасной площади разгерметизации оборудования приведен в приложении8;
периодической очистки территории, на которой располагается объект, помещений, коммуникаций, аппаратуры отгорючих отходов, отложений пыли, пуха и т.п.;
удалением пожароопасных отходов производства;
заменой легковоспламеняющихся (ЛВЖ) и горючих (ГЖ) жидкостей на пожаробезопасныетехнические моющие средства.
3.1. Противопожарная защита должна достигаться применением одного из следующих способов или их комбинацией:
применением средств пожаротушения исоответствующих видов пожарной техники;
применением автоматических установок пожарной сигнализации ипожаротушения;
применением основных строительных конструкций иматериалов, в том числе используемых для облицовок конструкций, снормированными показателями пожарной опасности;
применением прописки конструкций объектов антипиренами и нанесениемна их поверхности огнезащитных красок (составов);
устройствами, обеспечивающими ограничение распространения пожара;
организацией с помощью технических средств, включая автоматические,своевременного оповещения и эвакуации людей;
применением средств коллективной и индивидуальной защиты людей от опасныхфакторов пожара;
применением средств противодымнойзащиты.
3.2. Ограничение распространения пожара за пределы очага должнодостигаться применением одного из следующих способов или их комбинацией:
устройством противопожарных преград;
установлением предельно допустимых по технико-экономическим расчетамплощадей противопожарных отсеков и секций, а также этажности зданий и сооружений, но неболее определенных нормами;
устройством аварийного отключения ипереключения установок и коммуникаций;
применением средств, предотвращающих илиограничивающих разлив и растекание жидкостей при пожаре;
применением огнепреграждающихустройств в оборудовании.
3.3. Каждый объект должен иметь такое объемно-планировочное и техническоеисполнение, чтобы эвакуациялюдей из него была завершенадо наступления предельно допустимых значений опасных факторовпожара, а при нецелесообразности эвакуации былаобеспечена защита люден в объекте. Для обеспечения эвакуациинеобходимо:
установить количество, размеры, и соответствующее конструктивное исполнение эвакуационных путей ивыходов;
обеспечить возможность беспрепятственного движения людей по эвакуационным путям;
организовать при необходимости управлениедвижением людей по эвакуационным путям (световыеуказатели, звуковое и речевое оповещение и т.п.).
3.4. Средства коллективной и индивидуальнойзащиты должны обеспечиватьбезопасность людей в течение всего времени действия опасных факторов пожара.
Коллективную защиту следует обеспечивать с помощью пожаробезопасных зон идругих конструктивных решений. Средства индивидуальной защиты следует применять также дляпожарных, участвующих в тушениипожара.
3.5. Система противодымной защиты объектовдолжна обеспечивать незадымление, снижение температуры и удалениепродуктов горения и термического разложения напутях эвакуации в течениевремени, достаточного для эвакуации людей и (или) коллективную защиту людейв соответствии с требованиями п. 3.6 и(или) защиту материальных ценностей.
3.6. На каждом объекте народного хозяйства должно быть обеспеченосвоевременное оповещение людей и (или) сигнализация о пожарев его начальной стадии техническими или организационными средствами.
Перечень и обоснование достаточности для целевой эффективностисредств оповещения и (или) сигнализации на объектах согласовываетсяв установленном порядке.
3.7. В зданиях и сооружениях необходимо предусмотреть технические средства (лестничные клетки,противопожарные стены, лифты, наружные пожарныелестницы, аварийные люки и т.п.), имеющие устойчивость при пожаре и огнестойкостьконструкций нe менеевремени, необходимого для спасения людей при пожаре и расчетного временитушения пожара.
3.8. Для пожарной техники должны бытьопределены:
быстродействие и интенсивностьподачи огнетушащих веществ;
допустимые огнетушащие вещества (в том числес позиции требованийэкологии и совместимости с горящими веществами и материалами);
источники исредства подачи огнетушащих веществ для пожаротушения;
нормативный (расчетный) запас специальных огнетушащих веществ (порошковых,газовых, пенных, комбинированных);
необходимая скорость наращивания, подачи огнетушащих веществ с помощью транспортных средствоперативных пожарных служб;
требования к устойчивости от воздействияопасных факторов пожара и их вторичных проявлений;
требования техники безопасности.
Организационно-техническиемероприятия должны включать:
организацию пожарной охраны, организацию ведомственных служб пожарнойбезопасности в соответствии с законодательством Союза ССР,союзных республик и решением местных Советов депутатов трудящихся;
паспортизацию веществ, материалов, изделий, технологических процессов,зданий и сооружений объектов в части обеспечения пожарной безопасности;
привлечение общественности к вопросам обеспеченияпожарной безопасности;
организацию обученияработающих правилам пожарной безопасности напроизводстве, а населения - в порядке, установленном правилами пожарной безопасности соответствующихобъектов пребывания людей;
разработку и реализацию норм и правил пожарной безопасности, инструкций о порядкеобращения с пожароопасными веществами иматериалами, о соблюдении противопожарного режима идействиях людей при возникновении пожара;
изготовление и применение средств нагляднойагитации по обеспечению пожарной безопасности;
порядок хранения веществ и материалов,тушение которых недопустимо одними и теми же средствами, в зависимости от их физико-химических и пожароопасныхсвойств;
нормирование численности людей на объекте по условиям безопасности их припожаре;
разработку мероприятий по действиям администрации, рабочих, служащих инаселения на случай возникновения пожара и организацию эвакуации людей;
основные виды, количество, размещение и обслуживание пожарной техники по ГОСТ 12.4.009. Применяемая пожарная техника должнаобеспечивать эффективное тушение пожара(загорания), быть безопасной для природы и людей.
Таблица 1
| Термин | |
| Пожар | Примечание. Одновременно в настоящем стандарте под пожаром понимается процесс, характеризующийся социальным и/или экономическим ущербом в результате воздействия на людей и/или материальные ценности факторов термического разложения и/или горения, развивающийся вне специального очага, а также применяемых огнетушащих веществ |
| Система пожарной безопасности | Комплекс организационных мероприятий и технических средств, направленных на предотвращение пожара и ущерб от него. |
| Уровень пожарной опасности | Количественная оценка возможного ущерба от пожара |
| Количественная оценка предотвращенного ущерба при возможном пожаре | |
| Отказ, который может привести к возникновению предельно допустимого значения опасного фактора пожара в защищаемом объеме объекта | |
| Пожароопасный отказ комплектующего изделия | Отказ комплектующего изделия, который может привести к возникновению опасных факторов пожара |
| Объект защиты | Здание, сооружение, помещение, процесс, технологическая установка, вещество, материал, транспортное средство, изделия, а также их элементы и совокупности. В состав объекта защиты входит и человек |
| Устойчивость объекта при пожаре | Свойство объекта предотвращать воздействие на людей и материальные ценности опасных факторов пожара и их вторичных проявлений |
| Источник зажигания | Средство энергетического воздействия, инициирующее возникновение горения |
| Горючая среда | Среда, способная самостоятельно гореть после удаления источника зажигания |
| Пожарная опасность объекта | По ГОСТ 12.1.033. Примечание. Одновременно в настоящем стандарте под пожарной опасностью понимается возможность причинения ущерба опасными факторами пожара, в том числе их вторичными проявлениями |
| Пожарная безопасность | По ГОСТ 12.1.033 |
| По ГОСТ 12.1.033 | |
| Опасный фактор пожара | По ГОСТ 12.1.033 |
| Система противопожарной защиты | По ГОСТ 12.1.033 |
| Противодымная защита | По ГОСТ 12.1.033 |
| Горючесть | По СТ СЭВ 383-87 |
| Значение опасного фактора, воздействие которого на человека в течение критической продолжительности пожара нс приводит к травме, заболеванию или отклонению в состоянии здоровья в течение нормативно установленного времени, а воздействие на материальные ценности не приводит к потере устойчивости объекта при пожаре | |
| Время, в течение которого достигается предельно допустимое значение опасного фактора пожара в установленном режиме его изменения | |
| Продукция | Согласно Закону СССР «О качестве продукции и защите прав потребителя» |
(Измененнаяредакция, Изм. № 1).
Настоящий метод устанавливает порядок расчетауровня обеспечения пожарной безопасности людей ивероятности воздействия опасных факторов пожара на людей, а также обоснованиятребований к эффективности систем обеспеченияпожарной безопасности людей.
1. Сущность метода
1.1. Показателем оценки уровня обеспеченияпожарной безопасности людейна объектах является вероятность предотвращениявоздействия (Pв) опасных факторовпожара (ОФП), переченькоторых определяетсянастоящим стандартом.
1.2. Вероятность предотвращения воздействия ОФПопределяют для пожароопасной ситуации, при которой место возникновения пожара находится на первом этаже вблизиодного из эвакуационных выходов из здания (сооружения).
2. Основные расчетныезависимости
2.1. Вероятность предотвращения воздействия ОФП (Pв)на людей в объекте вычисляют по формуле
, (1)
где QВ - расчетная вероятность воздействияОФП на отдельного человека в год.
Уровень обеспечения безопасности людей при пожарах отвечает требуемому, если
где
- допустимая вероятностьвоздействия ОФП на отдельного человека в год.
Допустимую вероятность
принимают в соответствии с настоящим стандартом.
2.2. Вероятность (QB) вычисляют для людей в каждом здании (помещении) по формуле
, (3)
где QП - вероятность пожара в здании в год;
PЭ - вероятность эвакуации людей;
PП.Э,- вероятность эффективной работы технических решенийпротивопожарной защиты.
2.3. Вероятность эвакуации (PЭ)вычисляют по формуле
, (4)
где РЭ.П- вероятность эвакуации по эвакуационным путям;
PД.В -вероятность эвакуации по наружным эвакуационным лестницам, переходам в смежныесекции здания.
2.4. Вероятность (P) вычисляют по зависимости
где τбл- время от начала пожара до блокирования эвакуационных путей в результате распространенияна них ОФП, имеющих предельно допустимыедля людей значения, мин;
tр- расчетное время эвакуации людей, мин;
τн.э- интервал времени от возникновения пожара до начала эвакуации людей, мин.![]()
Расчетное время эвакуации людей из помещений и зданий устанавливается по расчету времени движения одногоили нескольких людских потоков через эвакуационные выходы от наиболее удаленных мест размещениялюдей.
При расчете весь путь движения людского потока подразделяется на участки (проход, коридор, дверной проем, лестничный марш, тамбур) длиной liи шириной di. Начальными участками являются проходы между рабочими местами, оборудованием,рядами кресел и т.п.
При определении расчетного времени длина и ширинакаждого участка пути эвакуации принимаются попроекту. Длина пути по лестничным маршам, а также по пандусамизмеряется по длине марша. Длина пути в дверном проемепринимается равной нулю. Проем, расположенный встене толщиной более 0,7 м, а также тамбур следует считатьсамостоятельным участком горизонтального пути, имеющим конечную длину li.
Расчетное время эвакуации людей (tр)следует определять как сумму времени движения людского потока по отдельным участкам пути ti по формуле
(6)
где t1- время движения людского потока на первом (начальном) участке, мин;
t2,t3,..., ti - время движения людского потокана каждом из следующих после первого участка путимин.
Время движения людского потока по первомуучастку пути (t1), мин, вычисляют поформуле
(7)
где l1 - длина первогоучастка пути, м;
v1, - значение скорости движения людского потока погоризонтальному пути на первом участке, определяется по табл. 2 в зависимости от плотности D, м/мин.
Плотность людского потока (D1) на первом участке пути, м2/м2,вычисляют по формуле
где N1 - число людей на первом участке, чел.;
f -средняя площадь горизонтальной проекции человека, принимаемаяравной, м2,
| взрослого в домашней одежде | 0,1 |
| взрослого в зимней одежде | 0,125 |
| подростка | 0,07 |
d1, - ширина первогоучастка пути, м.
Скорость v1 движения людскогопотока на участках пути, следующих после первого,принимается по табл. 2 в зависимости отзначения интенсивности движения людского потока покаждому из этихучастков пути, которое вычисляют для всех участков пути, в том числе и длядверных проемов, по формуле
где di, di-1 - ширина рассматриваемого i-гoи предшествующего ему участка пути, м;
qi,qi-1 - значенияинтенсивности движения людского потока по рассматриваемому i-му и предшествующему участкампути, м/мин, значение интенсивности движениялюдского потока на первом участке пути (q=qi-1), определяемое по табл. 2 по значению D1установленному по формуле (8)
| Горизонтальный путь | Дверной проем интенсивность | Лестница вниз | Лестница вверх | ||||
| Скорость v, м/мин | Интенсивность q, м/мин | Скорость | Интенсивность q, м/мин | Скорость | Интенсивность q, м/мин | ||
| 0,01 | 100, | 1 | 1 | 100 | 1 | 60 | 0,6 |
| 0,05 | 100 | 5 | 5 | 100 | 5 | 60 | 3 |
| 0,1 | 8 | 8,7 | 95 | 9,5 | 53 | 5,3 | |
| 0,2 | 60 | 12 | 13,4 | 68 | 13,6 | 40 | 8 |
| 0,3 | 47 | 14,1 | 16,5 | 52 | 16,6 | 32 | 9,6 |
| 0,4 | 16 | 18,4 | 40 | 16 | 26 | 10,4 | |
| 0,5 | 33 | 16,5 | 19,6 | 31 | 15,6 | 22 | 11 |
| 0,7 | 23 | 16,l | 18,5 | 18 | 12,6 | 15 | 10,5 |
| 0,8 | 19 | 15,2 | 17,3 | 13 | 10,4 | 13 | 10,4 |
| 0,9 и более | 15 | 13,5 | 8,5 | 8 | 7,2 | 11 | 9,9 |
Примечание. Табличное значение интенсивности движения в дверном проеме приплотности потока 0,9 и более, равное 8,5 м/мин,установлено для дверного проема шириной 1,6 м и более, а при дверном проеме меньшей ширины d интенсивность движения следует определять поформуле q=2,5+3,75d.
Если значение qi, определяемое по формуле(9), меньше или равно значению qmax, то время движения по участку пути (ti) в минуту
; (10)
при этомзначения qmax следует принимать равными, м/мин:
Если значение qi, определенное по формуле (9), больше qmax, то ширину di данного участка путиследует увеличивать на такое значение, при котором соблюдается условие
. (11)
При невозможностивыполнения условия (11) интенсивность и скорость движениялюдского потока по участку пути i определяют по табл. 2при значении D=0,9и более. При этом должно учитываться время задержки движения людей из-за образовавшегося скопления.
При слиянии вначале участка i двух и более людских потоков (черт. 1) интенсивностьдвижения (qi,),м/мин, вычисляют по формуле
, (12)
где qi-1 - интенсивность движения людских потоков,сливающихся в начале участка i, м/мин.
di-1 - ширина участковпути слияния, м;
di - ширинарассматриваемого участка пути, м.
Черт. 1. Слияние людских потоков
Если значение qi, определенное по формуле(12), больше qmax,то ширину di данного участка пути следуетувеличивать на такую величину, чтобы соблюдалось условие (11). В этом случае время движения поучастку i определяется по формуле (10).
2.5. Время tблвычисляют путем расчета значений допустимойконцентрации дыма и других ОФПна эвакуационных путях в различные моменты времени. Допускается время tбл приниматьравным необходимомувремени эвакуации tнб.
Необходимое время эвакуации рассчитываетсякак произведение критической для человека продолжительности пожара на коэффициент безопасности. Предполагается, что каждый опасный фактор воздействует на человека независимо от других.
Критическаяпродолжительность пожара для людей, находящихся наэтаже очага пожара, определяется из условия достижения одним из ОФП в поэтажном коридоре своего предельно допустимогозначения. В качестве критерия опасности для людей, находящихся выше очагапожара, рассматривается условие достижения одним из ОФП предельно допустимогозначения в лестничной клеткена уровне этажа пожара.
Значения температуры, концентраций токсичныхкомпонентов продуктов горения и оптической плотности дымав коридоре этажа пожара и в лестничной клетке определяются в результате решениясистемы уравнений теплогазообмена для помещенийочага пожара, поэтажного коридора и лестничной клетки.
Уравнения движения, связывающие значения перепадов давлений напроемах с расходами через проемы, имеют вид
(13)
где G - расход через проем, кг×с-1;
m- коэффициент расходапроема (m=0,8для закрытых проемов и m=0,64 для открытых);
В - ширина проемов, м;
у2, у1 - нижняя и верхняя границы потока, м;
- плотностьгазов, проходящих через проем, кг×м-3,
P - средний в пределах у2,у1 перепад полныхдавлений, Па.
Нижняя и верхняя границы потока зависят от положения плоскости равных давлений
, (14)
где Рi, Рj, - статическое давление на уровне пола i-го и j-го помещений, Па;
rj ri -среднеобъемные плотности газа в j-м и i-м помещениях, кг×м-3;
g - ускорение свободного падения, м×с-2
Если плотность равных давлений располагается вне границ рассматриваемого проема (y0£h1 или у0³h2), тo поток в проеме течет в одну сторону и границы потока совпадают с физическимиграницами проема h1и h2. Перепад давлений (
), Па, в этом случае вычисляют по формуле
. (15)
Если плоскость равных давлений располагается в границах потока (h1<y0<h2), то в проеметекут два потока: из i-го помещения в j-е из j-гo в i-е. Нижний поток имеет границы h1и у0,перепад давления
для этого потокаопределяется по формуле
(16)
Поток в верхней части проема имеет границы y0 и h2, перепад давления (
) для него рассчитывается поформуле
(17)
Знак расхода газов (входящий в помещениерасход считается положительным, выходящий - отрицательным) и значение
зависят от знакаперепада давлений
(18)
Уравнение баланса массы выражается зависимостью
(19)
Y- скорость выгорания пожарной нагрузки, кг×с-1;
, - сумма расходов, входящих в помещение, кг×с-1;
- суммарасходов, выходящихиз помещения, кг×с-1.
Уравнение энергиидля коридора и лестничной клетки
(20)
где Сv, Cp - удельная изохорная и изобарнаятеплоемкости, кДж×кг-1×К-1;
Тi, Tj- температуры газов в i-м и j-м помещениях, К.
Уравнение баланса масс отдельных компонентовпродуктов горения и кислорода
(21)
где XL,i, XL,j - концентрация L-го компонента продуктов горения в j-м и i-м помещениях, г×кг-1;
Ll - количество L-го компонента продуктовгорения (кислорода), выделяющегося (поглощающегося) при сгорании одного килограмма пожарнойнагрузки, кг×кг-1.
Уравнение баланса оптической плотности дыма
(22)
где mi,mj - оптическаяплотность дыма в j-ми i-м помещениях Нп×м-1;
Dm - дымообразующая способностьпожарной нагрузки, Нп×м2×кг-1.
Оптическая плотность дыма при обычных условиях связана с расстояниемпредельной видимости в дымусоотношением
. (23)
Значение времениначала эвакуации tн.эдля зданий (сооружений)без систем оповещения вычисляют по результатам исследованияповедения людей при пожарах в зданиях конкретногоназначения.
При наличии в здании системы оповещения о пожарезначение tн.эпринимают равной времени срабатывания системы сучетом ее инерционности. При отсутствии необходимыхисходных данных для определения времени началаэвакуации в зданиях (сооружениях) без систем оповещениявеличину tн.э, следует принимать равной 0,5 мин -для этажа пожара и 2 мин - для вышележащих этажей.
Если местам возникновения пожара является зальное помещение, где пожар может быть обнаружен одновременно всеми находящимися в нем людьми, то tн.эдопускается приниматьравным нулю. В этом случае вероятность (Рэ.п) вычисляют по зависимости
(24)
где tнб - необходимое время эвакуации из зальных помещений.
Примечание.Зданиями (сооружениями) без систем оповещения считают те здания(сооружения), возникновение пожара внутри которых может быть замеченоодновременно всеми находящимися там людьми.
Расчет tнб производится для наиболее опасноговарианта развития пожара, характеризующегося наибольшим темпом нарастания ОФП врассматриваемом помещении. Сначала рассчитывают значения критической продолжительностипожара (tкр) поусловию достижения каждым из ОФП предельно допустимых значений в зоне пребывания людей (рабочей зоне):
по повышенной температуре
(25)
по потере видимости
(26)
по пониженному содержанию кислорода
(27)
по каждому из газообразных токсичныхпродуктов горения
(28)
где В -размерный комплекс,зависящий от теплоты сгорания материала и свободного объемапомещения, кг;
to- начальная температура воздуха в помещении, °С;
n -показатель степени, учитывающий изменение массы выгорающего материала во времени;
А -размерный параметр, учитывающий удельную массовую скоростьвыгорания горючего материала и площадь пожара, кг×с-n;
z -безразмерный параметр, учитывающий неравномерностьраспределения ОФП по высоте помещения;
Q - низшая теплота сгорания материала, МДж×кг-1;
Ср - удельная изобарная теплоемкость газа МДж×кг-1;
j- коэффициент теплопотерь;
h - коэффициент полнотыгорения;
V - свободныйобъем помещения, м3,
a - коэффициент отражения предметов на путях эвакуации;
Е - начальнаяосвещенность, лк;
lпр - предельная дальность видимости в дыму, м;
Dm - дымообразующаяспособность горящего материала, Нп×м2×кг-1.
L - удельный выход токсичныхгазов при сгорании 1 кг материала, кг×кг-1,
Х - предельно допустимое содержаниетоксичного газа в помещении, кг×м-3 (ХСО2=0,11 кг×м-3; ХСО= 1,16-10-3кг×м-3; ХHCL=23×10-6кг×м-3);
LО2 - удельный расход кислорода, кг×кг-1.
Если под знаком логарифма получаетсяотрицательное число, то данный ОФП не представляет опасности. ПараметрZ вычисляют по формуле
(29)
где h - высота рабочей зоны, м;
Определяется высота рабочей зоны
(30)
где hпл - высота площадки, на которой находятся люди, под полом помещения, м;
d - разность высот пола, равнаянулю при горизонтальном его расположении, м.
Следует иметь в виду, что наибольшей опасности при пожаре подвергаются люди, находящиеся на более высокой отметке. Поэтому, например, при определениинеобходимого времени эвакуации людей из партера зрительногозала с наклонным полом значение h следуетнаходить, ориентируясь на наиболее высоко расположенные ряды кресел. Параметры А и n вычисляюттак:
для случая горения жидкости с установившейся скоростью
![]()
,
где yF - удельная массоваяскорость выгорания жидкости, кг ×м-2×с-1;
для кругового распространения пожара
![]()
,
где v - линейная скоростьраспространения пламени, м×с-1;
для вертикальной или горизонтальнойповерхности горения ввиде прямоугольника,одна из сторон которого увеличивается в двух направлениях за счетраспространения пламени (например распространениеогня в горизонтальном направлении по занавесупосле охвата его пламенем по всей высоте)
![]()
![]()
где b - перпендикулярный к направлениюдвижения пламениразмер зоны горения, м.
При отсутствии специальныхтребований значения aи Епринимаются равными 0,3 и 50 лк соответственно, азначение tпр=20 м.
Исходные данные для проведения расчетовмогут быть взяты из справочной литературы.
Из полученных в результате расчетов значений критической продолжительностипожара выбирается минимальное
(31)
Необходимое время эвакуации людей (tнб), мин, из рассматриваемого помещения рассчитывают по формуле
(32)
При расположении людей на различных по высоте площадках необходимое время эвакуацииследует определять длякаждой площадки.
Свободный объем помещения соответствует разностимежду геометрическим объемом и объемомоборудования или предметов, находящихся внутри.Если рассчитывать свободныйобъем невозможно, допускается принимать его равным80 % геометрическогообъема.
При наличии в здании незадымляемых лестничных клеток, вероятность Qвдля людей,находящихся в помещениях, расположенных выше этажа пожара, вычисляют по формуле
2.6. Вероятность эвакуации людей Рд.в по наружным эвакуационным лестницами другими путями эвакуации принимают равной 0,05 - в жилых зданиях; 0,03 - в остальных при наличии таких путей;0,001 - при их отсутствии.
2.7. Вероятность эффективного срабатывания противопожарнойзащиты Pп.з вычисляют по формуле
(34)
где n - число технических решенийпротивопожарной защиты вздании;
Ri - вероятность эффективного срабатыванияi-го технического решения.
2.8. Для эксплуатируемых зданий (сооружений)вероятность воздействия ОФП на людей допускаетсяпроверять окончательно с использованиемстатистических данных по формуле
(35)
где n - коэффициент, учитывающий пострадавших людей;
Т - рассматриваемыйпериод эксплуатации однотипныхзданий (сооружений), год;
Мж - число жертв пожара в рассматриваемойгруппе зданий (сооружений) за период;
N0- общее число людей,находящихся в зданиях(сооружениях).
Однотипными считают здания (сооружения) с одинаковой категорией пожарной опасности, одинакового функционального назначения и с близкимиосновными параметрами: геометрическими размерами,конструктивными характеристиками, количествомгорючей нагрузки, вместимостью (числом людей в здании),производственными мощностями.
3. Оценка уровня обеспечениябезопасности людей
3.1. Для проектируемых зданий (сооружений)вероятность первоначально оценивают по (3) приРэ,равной нулю. Если при этом выполняется условие
, то безопасность людей взданиях (сооружениях) обеспечена на требуемомуровне системой предотвращения пожара. Если это условие не выполняется, то расчетвероятности взаимодействияОФП на людей Qв следует производить порасчетным зависимостям, приведенным в разд.2.
3.2. Допускаетсяуровень обеспечения безопасности людей в зданиях (сооружениях) оценивать повероятности Qв, в одном или нескольких помещениях, наиболее удаленный от выходов в безопасную зону (например верхние этажи многоэтажных зданий).
Настоящий метод устанавливает порядокрасчета вероятности возникновения пожара (взрыва) в объектеи изделии.
1. Сущность метода
1.1. Вероятность возникновения пожара(взрыва) в пожаровзрывоопасном объекте определяют на этапах его проектирования, строительства иэксплуатации.
1.2. Для расчета вероятности возникновенияпожара (взрыва) на действующихили строящихся объектах необходимо располагатьстатистическими даннымио времени существованияразличных пожаровзрывоопасных событий. Вероятностьвозникновения пожара (взрыва) в проектируемых объектах определяют на основе показателей надежности элементов объекта, позволяющих рассчитывать вероятность производственного оборудования, систем контроля иуправления, а также других устройств, составляющихобъект, которые приводят к реализации различных пожаровзрывоопасных событий.
Под пожаровзрывоопасными понимают события, реализация которыхприводит к образованию горючей среды и появлению источника зажигания.
1.3. Численные значения необходимых длярасчетов вероятности возникновения пожара (взрыва)показателей надежности различных технологическихаппаратов, систем управления., контроля, связи итому подобных, используемых при проектированииобъекта, или исходные данные для их расчета выбирают в соответствии с ГОСТ 2.106, ГОСТ2.118, ГОСТ2.119, ГОСТ2.120, ГОСТ 15.001 , из нормативно-техническойдокументации, стандартов и паспортов на элементыобъекта. Необходимые сведения могут быть получены в результате сбора иобработки статистических данных об отказах анализируемых элементов в условияхэксплуатации.
Сбор необходимых статистических данных проводят по единой программе,входящей в состав настоящего метода.
1.4. Пожаровзрывоопасность любого объектаопределяется пожаровзрывоопасностью его составныхчастей (технологических аппаратов, установок, помещений). Вероятность возникновенияпожара (взрыва) в объекте в течение года Q (ПЗ)вычисляют по формуле
(36)
где Qi(ПП) - вероятность возникновения пожара в i-м помещении объекта втечение года;
n - количество помещений в объекте.
1.5. Возникновение пожара (взрыва) в любом из помещений объекта (событие ПП)обусловлено возникновением пожара (взрыва) или в одном из технологических аппаратов, находящихся в этом помещении (событие ПТАj,), или непосредственно в объемеисследуемого помещения (событие ПОi). Вероятность Qi (ПП) вычисляют по формуле
(37)
где Qj(ПТА) - вероятность возникновенияпожара в j-мтехнологическомаппарате i-го помещения в течение года;
Qi (ПО) - вероятность возникновения пожара вобъеме i-го помещения в течение года;
m - количество технологических аппаратов в i-м помещении.
1.6. Возникновение пожара (взрыва) в любом из технологических аппаратов (событие ПТАj) илинепосредственно в объеме помещения (событие ПОi), обусловлено совместным образованием горючей среды(событие ГС) в рассматриваемом элементе объекта и появлением в этой средеисточника зажигания (событие ИЗ).Вероятность (Qi (ПО)) или (Qj (ПТА)) возникновения пожара в рассматриваемом элементе объекта равнавероятности объединения (суммы) всех возможных попарных пересечений(произведений) случайных событий образования горючих сред и появления источниковзажиганий
где К - количество видов горючих веществ;
N - количество источников зажигания;
ГСk- событие образования k-й горючей среды;
ИЗn- событие появления n-го источника зажигания;
I- специальный символ пересечения (произведения) событий;
U- специальный символ объединения (суммы) событий.
Вероятность (Qi (ПО)) или (Qj (ПТА))вычисляют по аппроксимирующей формуле
где Qi (ГСk) - вероятность появления в i-м элементе объекта k-йгорючей среды в течение года;
Qi (ИЗn/ГСk) - условная вероятность появления в i-м элементе объекта n-го источника зажигания, способноговоспламенить k-ую горючую среду.
2. Расчет вероятности образованиягорючей среды
2.1. Образование горючей среды (событие ГСkв рассматриваемом элементе объекта обусловлено совместным появлением в немдостаточного количества горючего вещества или материала (событие ГВ) и окислителя (событие ОК) с учетом параметров состояния(температуры, давления и т. д.). Вероятность образования k-й горючейсреды (Qi (ГСk)) для случаянезависимости событий ГВ и ОК вычисляют по формуле
где Qi (ГВi) - вероятность появления достаточного дляобразования горючей среды количества l-гогорючего вещества в i-м элементе объекта в течение года;
Qi (ОКm) - вероятность появлениядостаточного для образования горючей среды количества m-го окислителя в i-м элементеобъекта в течение года;
k, l, m -порядковые номера горючей среды, горючего веществаи окислителя.
2.2. Появление в рассматриваемом элементе объекта горючего вещества k вида является следствием реализациилюбой из anпричин. Вероятность Qi(ГВk) вычисляют поформуле
(41)
где Qi (an) - вероятность реализации любой из an причин, приведенныхниже;
Qi (a1)- вероятность постоянного присутствия в i-мэлементе объекта горючего вещества k-говида;
Qi (a2) - вероятность разгерметизацииаппаратов или коммуникаций с горючим веществом, расположенных в i-м элементе объекта;
Qi (a3)- вероятность образования горючего вещества в результате химической реакции в i-м элементе объекта;
Qi (a4)- вероятность снижения концентрации флегматизатора в горючем газе, паре,жидкости или аэровзвеси i-го элемента объекта нижеминимально допустимой;
Qi(a5) -вероятность нарушения периодичности очистки i-го элемента объекта отгорючих отходов, отложений пыли, пуха и т. д.;
z - количество an причин, характерных для i -гообъекта;
п - порядковый номер причины.
2.3. На действующих и строящихся объектах вероятность (Qi(an) реализации в i-м элементеобъекта an причины, приводящей кпоявлению k-го горючего вещества,вычисляют на основе статистических данных о времени существования этой причиныпо формуле
где Кs- коэффициент безопасности, определение которого изложено в разд. 4;
tр- анализируемый период времени, мин;
m - количество реализаций an-й причины в i-м элементе объекта за
анализируемый период времени;
tj - время существования an-й причины появления k-го вида горючего вещества при j-й реализации в течение анализируемого периода времени, мин.
Общие требования к программе сбора и обработки статистических данныхизложены в разд. 4.
2.4. В проектируемых элементах объекта вероятность (Qi (an)) вычисляют для периоданормальной эксплуатации элемента, как вероятность отказа технических устройств(изделий), обеспечивающих невозможность реализации an, причин, по формуле
где Pi (an)- вероятность безотказной работы производственного оборудования (изделия),исключающего возможность реализации an причины;
l - интенсивность отказов производственного оборудования(изделия), исключающего возможность реализации an причины, ч-1;
t - общее время работы оборудования (изделия) заанализируемый период времени, ч.
2.5. Данные о надежности оборудования(изделия) приведены в нормативно-технических документах, стандартах ипаспортах. Интенсивность отказов элементов, приборов и аппаратов приведена в разд. 5.
2.6. При отсутствии сведений о параметрах надежности анализируемогооборудования (изделия), последние определяют расчетным путем на основестатистических данных об отказах этого оборудования(изделия).
2.7. Появление в i-м элементеобъекта k вида окислителя являетсяследствием реализации любой из bn причин.
Вероятность (Qi (ОKk))вычисляют по формуле
(44)
где Qi(bn) - вероятностьреализации любой из bn причин, приведенных
ниже;
Qi(b1) -вероятность того, что концентрация окислителя, подаваемого в смесь i-го элемента объекта, больше допустимойпо горючести;
Qi (b2) - вероятность подсосаокислителя в i-й элемент с горючим веществом;
Qi (b3) - вероятность, постоянного присутствия окислителя в i-м элементе объекта;
Q (b4) - вероятность вскрытия i-гоэлемента объекта с горючим веществом без предварительного пропаривания(продувки инертным газом);
z -количество bn причин, характерных для i-го элемента объекта;
n - порядковый номер причины.
2.8. Вероятности (Qi (bn))реализации событий, обуславливающих возможность появления окислителя k-гoвида в опасном количестве, вычисляют для проектируемых элементов по формуле (43), а для строящихся и действующийэлементов по формуле (42).
2.9. Вероятность (Qi (b2)) подсоса окислителя в аппарат с горючим веществомвычисляют, как вероятность совместной реализации двух событий: нахожденияаппарата под разрежением (событие S1) иразгерметизации аппарата (событие S2) по формуле
(45)
2.10. Вероятность (Q (S1))нахождения i-го элемента объекта подразрежением в общем случае вычисляют по формуле(42), принимают равное единице, если элемент во время работы находится подразрежением, и 0,5, если элемент с равной периодичностьюнаходится под разрежением и давлением.
2.11. Вероятность (Qi (S2)) разгерметизации i-го элемента на разных стадиях егоразработки и эксплуатации вычисляют по формуле (42 и 43).
2.12. При расчете вероятности образования в проектируемом элементеобъекта горючей среды (Qi (ГС)), нарушения режимного характера не учитывают.
2.13. При необходимости учитывают и иные события, приводящие кобразованию горючей среды.
3. Расчет вероятности появленияисточника зажигания (инициирования взрыва)
3.1. Появление n-го источника зажигания(инициирования взрыва) в анализируемом элементе объекта (событие ИЗn) обусловленопоявлением в нем n-го энергетического (теплового) источника (событие ТИn) с параметрами, достаточнымидля воспламенения k-й горючей среды(событие Вnk). Вероятность (Qi (ИЗn/ГСk)) появления n-го источника зажигания в i-мэлементе объекта вычисляют по формуле
где Qi (ТИп)- вероятность появления в i-м элементе объекта втечение года n-го энергетического (теплового)источника;
Qi (Bnk) - условнаявероятность того, что воспламеняющая способность появившегося в i-м элементе объекта n-го энергетического (теплового) источника достаточна длязажигания k-й горючей среды,находящейся в этом элементе.
3.1.1. Разряд атмосферного электричества в анализируемом элементе объектавозможен или при поражении объекта молнией (событие C1),или при вторичном ее воздействии (событие C2), или призаносе в него высокого потенциала (событие С3).
Вероятность (Qi (ТИп)) разряда атмосферного электричества в i-м элементе объекта вычисляют поформуле
где Qi(Cn)- вероятность реализации любой из Сn причин, приведенных ниже;
Qi (C1)- вероятность поражения i-го элемента объекта молнией втечение года;
Qi (C2) -вероятность вторичного воздействия молнии на i-й элемент объекта в течение года;
Qi (С3) - вероятность заноса в i-й элементобъекта высокого потенциала в течение года;
n - порядковый номер причины.
3.1.2. Поражение i-го элемента объекта молнией возможно при совместной реализациидвух событий - прямого удара молнии (событие t2)и отсутствия неисправности, неправильного конструктивного исполнения или отказамолниеотвода (событие t1).Вероятность (Qi (C1)) вычисляют по формуле
где Qi (t1)- вероятность отсутствия, неисправности, неправильного конструктивногоисполнения или отказа молниеотвода, защищающего i-й элементобъекта;
Qi (t2) - вероятность прямого удара молнии в i-й элемент объекта в течение года.
3.1.3. Вероятность (Qi (t2)) прямого удара молнии в объект вычисляют по формуле
где Nу.м - число прямых ударовмолнии в объект, за год;
tр- продолжительность периода наблюдения, год.
Для объектов прямоугольной формы
Для круглых объектов
где S - длина объекта, м;
L - ширина объекта, м;
H - наибольшая высота объекта, м;
R - радиус объекта, м;
ny- среднее число ударов молнии на 1 км2 земной поверхности выбираютиз табл. 3.
Таблица3
| Продолжительность грозовой деятельности за год, ч | 20-40 | 40-60 | 60-80 | 80-100 и более |
| Среднее число ударов молнии в год на 1 км2 | 3 | 6 | 9 | 12 |
3.1.4. Вероятность (Qi (ti)) принимаютравной единице в случае отсутствия молниезащиты на объекте или наличия ошибокпри ее проектировании и изготовлении.
Вывод о соответствии основных параметров молниеотвода требованиям,предъявляемым к молниезащите объектов 1, 2 и 3-й категорий делают на основаниирезультатов проверочного расчета и детального обследования молниеотвода.Основные требования к молниеотводам объектов 1, 2 и 3-й категорий приведены в СН-305-77. При наличии молниезащиты вероятность (Qi(t1)) вычисляют по формуле
где Кs- коэффициент безопасности, определение которого изложено в разд. 4;
tр- анализируемый период времени, мин;
tj- время существования неисправности молниеотвода при j-й ее реализации в течение года, мин;
m - количество неисправных состояний молниезащиты;
b - вероятность безотказной работы молниезащиты (b=0,995 при наличии молниезащитытипа А и b=0,95 при наличии молниезащитытипа Б).
Для проектируемых объектов вероятность ошибки при проектированиимолниезащиты не рассчитывают.
При расчете Qi (t1)существующей молниезащиты нарушение периодичности проверки сопротивлениязаземлителей (один раз в два года) расценивают как нахождение молниезащиты внеисправном состоянии. Время существования этой неисправности определяют какпродолжительность периода между запланированным и фактическим сроками проверки.
3.1.5. Вероятность (Qi(C2))вторичного воздействия молнии на объект вычисляют по формуле
где Qi (t3) - вероятность отказа защитного заземления в течениегода.
3.1.6. Вероятность (Qi (t3)) при отсутствии защитного заземления или перемычек вместах сближения металлических коммуникаций принимают равной единице.Вероятность (Qi (t3)) неисправностисуществующей системы защиты от вторичных воздействий молнии определяют наосновании результатов ее обследования аналогично вероятности (Qi(an)) по формуле (42).
Для проектируемых объектов вероятность отказа неисправности защитногозаземления не рассчитывается, а принимается равной единице или нулю взависимости от ее наличия в проекте.
3.1.7. Вероятность (Qi(С3)) заноса высокогопотенциала в защищаемый объект вычисляют аналогично вероятности (Qi(С2)) по (53).
3.1.8. Вероятность Qi (t2)при расчете (Qi (C2)) и (Qi(C3)) вычисляют no формуле(49), причем значения параметров S и L вформулах (50 и 51) необходимо увеличить на 100 м.
3.1.9. Электрическая искра (дуга) может появиться в анализируемомэлементе объекта (событие ТИn) при коротком замыкании электропроводки (событие е1,), при проведенииэлектросварочных работ (событие e2),при искрении электрооборудования, не соответствующего по исполнению категории игруппе горючей среды, находящейся в этом элементе (событие e3), при разрядах статического электричества (событие е4).
Вероятность (Qi (ТИn)) вычисляют по формуле
где Qi (en)- вероятность реализации любой из en причин, приведенных ниже;
Qi (ei) - вероятностьпоявления искр короткого замыкания электропроводки в i-мэлементе в течение года;
Qi (e2) - вероятность проведения электросварочных работ в i-м элементе объекта в течение года;
Qi (e3) -вероятность несоответствия электрооборудования i-го элемента объекта категории и группе горючей среды в течениегода;
Qi(е4) - вероятностьвозникновения в i-м элементе объектаразрядов
статического электричества в течение года;
Z - количество en причин;
п - порядковый номер причины.
3.1.10 Вероятность (Qi (е1)) появления в (i-м элементеобъекта искр короткого замыкания вычисляют только для действующих и строящихсяэлементов объектов по формуле
где Qi (V1)- вероятность возникновения короткого замыкания электропроводки в i-м элементе объекта в течение года;
Qi (V2)- вероятность того, что значение электрического тока в i-м элементе объекта лежит вдиапазоне пожароопасных значений;
Qi (Z) - вероятность отсутствия или отказа аппаратов защиты откороткого замыкания в течение года, определяющаясяпо п. 3.1.30.
3.1.11. Вероятность (Qi (V1))короткого замыкания электропроводкина действующих и строящихся объектах вычисляют на основании статистическихданных по формуле (42).
3.1.12. Вероятность (Qi (V2)) нахождения электрического тока вдиапазоне пожароопасных значений вычисляют по формуле
(56)
где Iк.з- максимальное установившееся значение тока короткого замыкания в кабеле илипроводе;
I0 - длительно допустимый ток для кабеля илипровода;
I1- минимальное пожароопасное значение тока, протекающегопо кабелю или проводу;
I2 -максимальное пожароопасное значение тока, протекающего по кабелю, если I2 больше Iк.з, то принимают I2=Iк.з.
Значения токов I1 и I2определяют экспериментально.Для кабелей и проводов с поливинилхлориднойизоляцией I1=2,5, I0, а значение I2=21 I0 и 18 I0для кабеля и провода соответственно. В отсутствии данных по I1 и I2вероятность (Qi (V2))принимают равной 1.
3.1.13. Вероятность (Qi (е2)) проведения в i-м элементе объектаэлектросварочных работ вычисляют только для действующих и строящихся элементовобъекта на основе статистических данных по формуле(42).
3.1.14. Вероятность (Qi (e3)) при непрерывной работе электрооборудованияпринимают на всех объектах равной единице, еcли электрооборудование несоответствует категории и группе горючей смеси, или 10-8 - еслисоответствует. При периодической работе электрооборудования и егонесоответствия категории и группе горючей среды вероятность (Qi(e3)) вычисляют аналогичновероятности (Qi (an)) по формуле (42). Если электрическая искра появляется лишьпри включении и выключении электрооборудования, несоответствующего категории игруппе горючей среды (при пвключениях и выключениях, то вероятность (Qi(e3))вычисляют аналогично вероятности (Qi (t2))по формуле (49). В случае соответствияэлектрооборудования горючей среде, вычисленное формуле(49) значение вероятности (Qi (е3)) умножают на 10-8.
3.1.15. Вероятность (Qi (е4))появления в i-м элементе объекта искрстатического электричества вычисляют по формуле
(57)
где Qi (X1) - вероятность появления в i-мэлементе условий для статической электризации втечение года;
Qi (X2)- вероятность наличия неисправности, отсутствия или неэффективности средствзащиты от статического электричества в течение года.
3.1.16. Вероятность (Qi (X1)) принимают равной единице, если в i-м элементе объекта применяют и выбирают вещества с удельнымобъемным электрическим сопротивлением, превышающим 105 Ом×м.В остальных случаях (Qi(Х2))принимают равной нулю.
3.1.17. Вероятность (Qi (X2)) принимают равной единице при отсутствии илинеэффективности средств защиты от статического электричества. Вероятность (Qi(an))неисправности средств защиты в действующих элементах вычисляют на основаниистатистических данных аналогично вероятности (Qi(an)) по формуле(42).
Вероятность (Qi(X2))в проектируемых элементах объекта вычисляют аналогично вероятности (Qi(an)) по формуле (43) на основании данных о надежностипроектируемых средств защиты от статическогоэлектричества (например средств ионизации или увлажнения воздуха и т.п.).
3.1.18. Фрикционные искры (искры удара итрения) появляются в анализируемом элементе объекта (событие ТИn) при применении искроопасногоинструмента (событие f1),при разрушении движущихся узлов и деталей (событие f2),при применении рабочими обуви, подбитой металлическими набойками и гвоздями(событие f3), при попадании вдвижущиеся механизмы посторонних предметов (событие f4)и т. д., при ударе крышки металлического люка (событие f5).Вероятность (Qi (ТИn)) вычисляют поформуле
(58)
где Qi(fn) -вероятность реализации любой из fn причин, приведенных ниже;
Qi (f1)- вероятность применения в i-м элементе объектаметаллического, шлифовального и другого искроопасного инструмента в течениегода;
Qi (f2)- вероятность разрушения движущихся узлов и деталей i-гоэлемента объекта в течение года;
Qi(f3) -вероятность использования рабочими обуви, подбитой металлическими набойками игвоздями в i-м элементе объекта в течение года;
Qi (f4) - вероятность попадания в движущиеся механизмы i-го элемента объекта посторонних предметов в течение года;
Qi(f5) - вероятность ударакрышки металлического люка в i-мэлементе объекта в течение года;
n - порядковый номер причины;
Z - количество fnпричин.
3.1.19. Вероятность (Qi (f1))вычисляют только для действующих и строящихся элементов объекта на основаниистатистических данных аналогичного вероятностям (Qi (an)) и (Qi(t2)) по формулам (42 или 49).
3.1.20. Вероятность (Qi (f2)) для действующих и строящихся элементовобъекта вычисляют на основании статистических данных аналогично вероятности (Qi (an)) по формуле (43).
Для проектируемыхэлементов объекта вероятность (Qi(f2))вычисляют аналогично вероятности (Qi (an)) по формуле (43) на основании параметровнадежности составных частей.
3.1.21. Вероятность (Qi(f3)) и (Qi(f5)) вычисляют только для действующих истроящихся элементов объекта аналогично вероятности (Qi(an)) по формуле (42).
3.1.22. Вероятность (Qi(f4)) вычисляютдля действующих и строящихся элементов объекта на основании статистическихданных аналогично вероятности(Qi (an)) по формуле (42), а для проектируемыхэлементов по формуле (43),как вероятность отказа защитных средств.
3.1.23. Открытое пламя и искры появляются в i-мэлементе объекта (событие ТИn) приреализации любой из причин hn. Вероятность(Qi (ТИп))вычисляют по формуле
(59)
где Qi(hn) -вероятность реализации любой из hn причин,приведенных ниже;
Qi(h1)- вероятность сжигания топлива в печах i-гo элемента объекта втечение года;
Qi (h2) - вероятностьпроведения газосварочных и других огневых работ в i-мэлементе объекта в течение года;
Qi(h3) - вероятность несоблюдения режима курения в i-м элементе
объекта в течение года;
Qi(h4) -вероятность отсутствия или неисправности искрогасителейна двигателях внутреннего сгорания, расположенных в i-м элементе объекта в течение года;
Qi(h5) - вероятность использования рабочими спичек,зажигалок или
горелок в i-м элементе объекта в течение года;
Qi(h6) - вероятность выбросовнагретого газа из технического оборудования в i-мэлементе объекта в течение года;
п - порядковый номер причины.
3.1.24. Вероятность (Qi (h1)) вычисляют для всех элементов объекта поформуле
где Ks- коэффициент безопасности, определение которого изложено в разд. 4;
tp - анализируемыйпериод времени, мин;
m - количество включенийпечи в течение анализируемого периода времени;
tj - время работы печи i-го элемента объекта при j-м ее включении в течение анализируемого периода времени,мин.
3.1.25. Вероятности (Qi (h2)), (Qi(h3)), (Qi(h4)), (Qi(h5))и (Qi(h6)) вычисляют только для действующих и строящихсяобъектов на основе статистических данных аналогично вероятности по формуле(60).
3.1.26. Нагрев вещества, отдельных узлов и поверхностей технологическогооборудования i-гоэлемента объекта, контактирующих с горючей средой, выше допустимой температуры(событие ТИn)возможен при реализации любой из Кn причин. Вероятность вычисляют по формуле
(61)
rдe Qi (Kn) - вероятностьреализации любой из Кn причин, приведенных
ниже;
Qi (K1) - вероятностьнагрева горючего вещества или поверхности оборудования i-гоэлемента объекта при возникновении перегрузки электросети, машины и аппаратов в течение года:
Qi(K2) -вероятность отказа системы охлаждения аппарата i-го элемента объекта в течениегода;
Qi(K3) -вероятность нагрева поверхностей и горючих веществ при возникновении повышенныхпереходных сопротивлений электрических соединений i-гoэлемента объекта в течение года;
Qi (K4)- вероятность использования электронагревательных приборов в i-м элементе объекта в течениегода;
Qi(K5) -вероятность нагрева поверхностей при трении в подшипниках в i-м элементе объекта в течение года;
Qi (К6) - вероятность разогрева от трения транспортных ленти приводных ремней в i-м элементе в течение года;
Qi(К7) - вероятность нагрева поверхностей инструмента и материалов
при обработке в i-м элементеобъема в течение года;
Qi(K8) - вероятность нагрева горючих веществ в i-м элементе объекта до опасныхтемператур по условиям технологического процесса в течение года.
3.1.27. Перегрузка электрическихкоммуникаций, машин и аппаратов (событие K1) возможнапри неисправности или несоответствии аппаратов защиты электрических сетей, атакже при реализации любой из причин Ym.
Вероятность (Qi (K1))вычисляют по формуле
(62)
где Qi {ym) - вероятностьреализации любой из уm причин, приведенныхниже;
Qi (y1) - вероятностьнесоответствия сечения электропроводников нагрузке электроприемников в i-м элементе в течение года;
Qi (y2) - вероятность подключения дополнительныхэлектроприемников в i-м элементе объекта в электропроводке,не рассчитанной на эту нагрузку;
Qi(у3)- вероятность увеличения момента на валу электродвигателя в i-м элементе объекта в течение года;
Qi(y4) - вероятностьповышения напряжения в сети i-гоэлемента объекта в течение года;
Qi(y5) - вероятностьотключения фазы (двухфазный режим работы в установках трехфазного тока) в сети i-го элемента объекта в течение года;
Qi (y6) - вероятность уменьшения сопротивленияэлектроприемников в i-м элементе объекта в течение года;
Qi (z) - вероятность отсутствия неисправности или несоответствияаппаратов защиты электрических систем i-го элемента объекта отперегрузки в течение года.
3.1.28. Вероятности (Qi(y1)), (Qi (у2)), (Qi (y4)), (Qi(y5)), (Qi (y6))вычисляют только для действующих и строящихся объектов аналогично вероятности (Qi (h1)) по формуле (60).
3.1.29. Вероятность (Qi (y3))вычисляют для действующих и строящихся объектов аналогично вероятности (Qi(h1)) по формуле(60)), а для проектируемых объектованалогично вероятности (Qi (an)) по формуле (43), как вероятность заклинивания механизмов,приводимых в действие электродвигателем.
3.1.30. Вероятность (Qi (z)) вычисляют для действующих элементов объекта аналогичновероятности (Qi (h1)) по формуле(60), для проектируемых элементов при отсутствии аппаратов защиты принимаютравной единице, а при их наличии вычисляют аналогично вероятности (Qi(an)) по формуле (43).
3.1.31. Вероятности (Qi(K2)) вычисляют для проектируемых элементов объектааналогично вероятности (Qi (an)) по формуле (43), как вероятность отказа устройств,обеспечивающих охлаждение аппарата, а для строящихся и действующих элементованалогично вероятности (Qi(h1)) по формуле(60).
3.1.32. Вероятность (Qi(К3)),(Qi(K4)) и ( Qi(К6)) вычисляют только длядействующих и строящихся объектов аналогично вероятности (Qi(h1)) по формуле(60).
3.1.33. Вероятность (Qi (K5))и (Qi(K7)) вычисляют для проектируемых элементов объектааналогично вероятности (Qi (an)) по формуле(43), как вероятностьотказа системы смазки механизмов i-гo элемента, а для строящихся и действующих элементованалогично вероятности (Qi (h1))по формуле (60).
3.1.34. Вероятность (Qi(K8)) принимают равной единице,если в соответствии с технологической необходимостьюпроисходит нагрев горючих веществ до опасныхтемператур, или нулю, если такой процесс не происходит.
Вероятность (Qi(ТИn)) появления в горючем веществе или материале очагов экзотермического окисления илиразложения, приводящих к самовозгоранию, вычисляют по формуле
(63)
где Qi(mn)- вероятность реализации любой из mn причин, приведенных
ниже;
Qi(m1) -вероятность появления и i-м элементе объекта очага тепловогосамовозгорания в течение года;
Qi (m2)- вероятность появления в i-м элементе объема очага химического возгорания в течение года;
Qi(m3) - вероятность появления в i-м элементе объекта очагамикробиологического самовозгорания в течение года.
3.1.35. Вероятность (Qi(m1)) вычисляют для всех элементов объектапо формуле
(64)
где Qi (P1)- вероятность появления в i-м элементе объекта втечение года веществ, склонных к тепловому самовозгоранию;
Qi (P2)- вероятность нагрева веществ, склонных к самовозгоранию, выше безопаснойтемпературы.
3.1.36. Вероятность (Qi (P1)) вычисляют для всех элементов объектапо формулам (60 или 43).
3.1.37. Вероятность (Qi (P2)) принимают равнойединице, если температура среды, в которой находится этовещество, выше или равна безопасной температуреили нулю, если температура среды ниже ее.
Безопасную температуру среды для веществ, склонных к тепловомусамовозгоранию (ts), °С, вычисляют по формуле
(65)
где tc - температура самовозгораниявещества, вычисляемая по п.5.1.6, °С.
3.1.38. Вероятность (Qi(m2))вычисляют для всех элементовобъекта по формуле
(66)
где Qi(g1) - вероятностьпоявления в i-м элементе объекта химическиактивных веществ, реагирующих между собой с выделением большого количества тепла, в течение года;
Qi(g2) - вероятность контакта химически активных веществ втечение года.
3.1.39. Вероятности (Qi (g1))и (Qi(g2)) вычисляют аналогично вероятности (Qi(h1))по формуле (60), если реализация событий g1 и g2обусловлена технологическими условиями или мероприятиями организационного характера ивычисляют аналогично вероятности Qi (an) по формуле (43),если эти события зависят от надежности оборудования.
3.1.40. Вероятность (Qi(m3)) рассчитывают для действующих и строящихсяобъектов аналогичновероятности (Qi (h1)) по формуле(60).
3.2. Вероятность (Qi (
)) того, что воспламеняющаяся способность появившегося в i-м элементе объекта n-го энергетического (теплового) источника достаточна длязажигания к-йгорючей среды, находящейся в этом элементе, определяется экспериментально илисравнением параметров энергетического (теплового) источника с соответствующимипоказателями пожарной опасности горючей среды.
3.2.1. Если данные для определения (Qi(Вkn)) отсутствуют или их достаточность вызывает сомнение, то значение вероятности (Qi(Bkn)) принимаютравным 1.
3.2.2. Вероятность (Qi (Вkn)) принимают равнойнулю в следующих случаях:
если источник не способен нагреть вещество выше 80 % значения температурысамовоспламенения вещества или температуры самовозгорания вещества, имеющегосклонность к тепловому самовозгоранию;
если энергия, переданная тепловым источником горючему веществу (паро-,газо-, пылевоздушной смеси) ниже 40 % минимальной энергии зажигания;
если за время остывания теплового источника он не способен нагретьгорючие вещества выше температуры воспламенения;
если время воздействия теплового источника меньше суммы периода индукциигорючей среды и времени нагрева локального объема этой среды от начальнойтемпературы до температуры воспламенения.
3.3. Данные о пожароопасных параметрах источников зажигания приведены в разд. 5.
3.4. При обосновании невозможности расчета вероятности появленияисточника зажигания в рассматриваемом элементе объекта с учетом конкретныхусловий его эксплуатации допускается вычислятьэтот параметр по формуле
(67)
где t - время работы i-гоэлемента объекта за анализируемый период времени, ч;
![]()
- среднее времяработы i-го элемента объекта до появления одного источниказажигания, ч; (E0 -минимальная энергия зажигания горючей среды i-го элемента объекта,Дж).
3.5. При необходимости учитывают и иные события, приводящие к появлениюисточника зажигания.
4. Общие требования кпрограмме сбора и обработки статистических данных
4.l. Программу сбора статистических данных разрабатывают для действующих, строящихся и проектируемых объектов наоснове анализа пожарной опасности помещений итехнологического оборудования
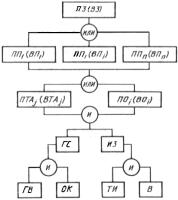
4.2. Анализ пожарной опасности проводятотдельно по каждому технологическому аппарату, помещениюи заканчивают разработкой структурной схемы причинно-следственной связипожаровзрывоопасных событий, необходимых и достаточных для возникновения пожара(взрыва) в объекте (далее - модель возникновенияпожара). Общий вид структурной схемы возникновенияпожара в здании показан на черт. 2.
4.3. Статистические данные о времени существования пожаровзрывоопасных событий на действующихи строящихся объектах и времени безотказной работы различных изделийпроектируемых объектов собирают только по событиям конечного уровня,приведенным на модели возникновения пожара, для которых в методе отсутствуютаналитические зависимости.
Черт. 2
4.4. На основании модели возникновения пожара по каждому элементу объектаразрабатывают формы сбора статистической информации о причинах, реализация которых может привести к возникновениюпожара (взрыва).
4.5. Статистическую информацию, необходимую для расчета параметров надежности различных изделий, используемых в проектном решении,собирает проектная организация на действующихобъектах. При этом для наблюдения выбирают изделия, работающие в периоднормальной эксплуатации и в условиях, идентичных тем, в которых будетэксплуатироваться проектируемое изделие.
4.6. В качестве источников информации о работоспособноститехнологического оборудования используют:
журналы старшего машиниста;
старшего аппаратчика;
начальника смены;
учета пробега оборудования;
дефектов;
ремонтные карты;
ежемесячные (ежеквартальные) технические отчеты; отчеты ремонтных служб;
график планово-предупредительных ремонтов;
ежемесячные отчеты об использовании оборудования;
справочные и паспортные данные о надежности различных элементов.
4.7. Источниками информации о нарушении противопожарного режима впомещениях, неисправности средств тушения, связи и сигнализации являются:
книга службы объектовой пожарной части МВД СССР;
журнал дополнительных мероприятий по охране объекта (для объектов,охраняемых пожарной охраной МВД СССР);
журнал наблюдения за противопожарным состояниемобъекта (для объектов, охраняемых пожарной охраной МВД СССР);
журнал осмотра складов, лабораторий и других помещений перед их закрытиемпо окончании работы;
предписания Государственного пожарного надзора МВД СССР;
акты пожарно-технических комиссий о проверке противопожарного состоянияобъектов;
акты о нарушении правил пожарной безопасностиорганов Государственного пожарного надзора МВД СССР.
4.8. При разработке форм сбора и обработкистатистической информации используют:
наставление по организации профилактической работы на объектах,охраняемых военизированной и профессиональной пожарной охраны МВД СССР;
устав службы пожарной охраны МВД СССР;
форму, приведенную в табл. 4.
Таблица 4
| Наименование анализируемого элемента объекта | Анализируемое событие (причина) | Порядковый номер реализации события (причины) | Дата и время | Время tj существования события причины | Общее время (t) работы i-го элемента объекта, мин | ||
| Наименование | Обозначение | обнаружения (возникновения) причины | устранения (возникновения) причины | ||||
| Компрессор первого каскада | f2 | 1 | 01.03.84 | 1.3.84 | 5 | 18*14 | |
| 2 | 10.4.84 | 10.4.84 | 4 |
| |||
| 3 | 21.5.84 | 21.5.84 | 5 |
| |||
| 4 | 17.12.84 | 17.12.84 | 3 |
| |||
4.9. На основании собранных данных вычисляют коэффициентбезопасности Ksв следующей последовательности.
4.9.1. Вычисляют среднее время существования пожаровзрывоопасного события(t0)(среднее время нахождения в отказе) по формуле
где tj - время существования i-го пожаровзрывоопасного события, мин;
m - общее количество событий(изделий);
j - порядковый номер события(изделия).
4.9.2. Точечную оценку дисперсии (D0)среднего времени существования пожаровзрывоопасного события вычисляют поформуле
(69)
4.9.3. Среднее квадратическое отклонение (st0)точечной оценки среднего времени существования события - t0вычисляют по формуле
(70)
4.9.4. Из табл. 5 выбирают значение коэффициентаtbв зависимости от числа степеней свободы (m-1) при доверительнойвероятности b=0,95.
Таблица 5
4.9.5. Коэффициент безопасности (Ks) (коэффициент, учитывающийотклонение значения параметра t0, вычисленного по формуле (68), от его истинного значения) вычисляют изформулы
(71)
4.9.6. При реализации в течение года только одного события коэффициентбезопасности принимают равным единице.
5. Определениепожароопасных параметров тепловых источников интенсивности отказов элементов
5.1. Пожароопасные параметры тепловых источников
5.1.1. Разряд атмосферногоэлектричества
5.l.l.l. Прямой удар молнии
Опасность прямого удара молнии заключается в контакте горючей среды сканалом молнии, температура в котором достигает 30000 °С при силе тока 200000 Аи времени действия около 100 мкс. От прямого ударамолнии воспламеняются все горючие среды.
5.1.1.2. Вторичное воздействие молнии
Опасность вторичного воздействия молнии заключается в искровых разрядах,возникающих в результате индукционного и электромагнитного воздействияатмосферного электричества на производственное оборудование, трубопроводы истроительные конструкции. Энергия искрового разряда превышает 250 мДж идостаточна для воспламенения горючих веществ с минимальной энергией зажиганиядо 0,25 Дж.
5.1.1.3. Занос высокого потенциала
Занос высокого потенциала в здание происходит по металлическимкоммуникациям не только при их прямом поражениимолнией, но и при расположении коммуникаций в непосредственной близости от молниеотвода.При соблюдении безопасных расстояний между молниеотводами и коммуникациями энергия возможных искровыхразрядов достигает значений 100 Дж и более, тоесть достаточна для воспламенения всех горючих веществ.
5.1.2. Электрическая искра (дуга)
5.1.2.1. Термическое действие токов короткого замыкания
Температуру проводника (tпр), °С,нагреваемого током короткого замыкания, вычисляют по формуле
(72)
где tн - начальная температура проводника, °С;
Iк.з - ток короткого замыкания, А;
R - сопротивлениепроводника, Oм;
tк.з- время короткого замыкания, с;
Спр - теплоемкостьпроводника, Дж×кг-1×К-1;
Воспламеняемость кабеля и проводника с изоляцией зависит от значения кратности тока короткого замыкания Iк.з, т.е. отзначения отношения Iк.з к длительно допустимомутоку кабеля или провода. Если эта кратность больше 2,5, но меньше 18 для кабеля и 21 для провода, то происходитвоспламенение поливинилхлоридной изоляции.
5.1.2.2. Электрические искры (капли металла)
Электрические искры (капли металла) образуются при коротком замыканииэлектропроводки, электросварке и при плавлении электродов электрических лампнакаливания общего назначения. Размер капель металла при этом достигает 3 мм(при потолочной сварке - 4 мм). При коротком замыкании и электросварке частицывылетают во всех направлениях, и их скорость непревышает 10 и 4 м×с-1соответственно. Температура капель зависит от вида металла и равна температуре плавления. Температура капельалюминия при коротком замыкании достигает 2500 °С, температура сварочных частици никелевых частиц ламп накаливания достигает 2100 °C. Размер капель при резке металладостигает 15-26 мм, скорость - 1 м×с-1 температура 1500 °C. Температура дуги при сварке и резкедостигает 4000 °С, поэтому дуга являетсяисточником зажигания всех горючих веществ.
Зона разлета частиц при коротком замыкании зависит от высоты расположенияпровода, начальной скорости полета частиц, угла вылета и носит вероятностныйхарактер. При высоте расположения провода 10 мвероятность попадания частиц на расстояние 9 мсоставляет 0,06; 7 м - 0,45и 5м - 0,92; при высоте расположения 3 м вероятность попадания частиц нарасстояние 8 м составляет 0,01, 6 м - 0,29 и 4м - 0,96, а при высоте 1 мвероятность разлета частиц на 6м - 0,06, 5 м - 0,24, 4 м - 0,66 и 3 м - 0,99.
Количество теплоты, которое капля металла способна отдать горючей средепри остывании до температуры ее самовоспламенения, рассчитывают следующимспособом.
Среднюю скорость полета капли металла при свободном падении (wк), м×с-1,вычисляют по формуле
(73)
где g=9,81 м×с-1 - ускорение свободного падения;
Н - высота падения, м.
Объем капли металла (Vк),м3, вычисляют по формуле
(74)
где dk - диаметр капли, м.
Массу капли (mk), кг, вычисляют по формуле
(75)
где r -плотность металла, кг×м-1.
В зависимости от продолжительности полета капли возможны три ее состояния: жидкое, кристаллизации, твердое.
Время полета капли в расплавленном (жидком) состоянии (tp), с, рассчитывают поформуле
где Cp- удельная теплоемкость расплава металла, Дж×к-1К-1;
mk- масса капли, кг;
Sk=0,785 d2k - площадь поверхности капли, м2;
Тн,Тпл - температура капли вначале полета и температура плавления металласоответственно, К;
Т0 - температураокружающей среды (воздуха), К;
a - коэффициенттеплоотдачи, Вт, м-2 К-1.
Коэффициент теплоотдачи определяют в следующей последовательности:
а) вычисляют число Рейнольдса по формуле
(77)
где dk- диаметр капли м;
v=15,1×10-6- коэффициент кинематической вязкости воздуха притемпературе 20°С, м-2×с-1.
б) вычисляют критерий Нуссельта по формуле
(78)
в) вычисляют коэффициент теплоотдачи по формуле
, (79)
где lв=22×10-6- коэффициент теплопроводности воздуха, Вт×м-1×-К-1.
Если t£tр,то конечную температуру капли определяют поформуле
(80)
Время полета капли, в течение которого происходит ее кристаллизация,определяют по формуле
(81)
где Скр - удельная теплота кристаллизации металла, Дж×кг-1.
Если tр<t£(tp+tкр),то конечную температуру каплиопределяют по формуле
(82)
Если t>(tр+tкр),то конечную температуру капли в твердом состоянии определяют по формуле
(83)
где Ск - удельная теплоемкостьметалла, Дж×кг-1×K-1.
Количество тепла (W), Дж, отдаваемое каплей металлатвердому или жидкому горючему материалу, на который она попала, вычисляют поформуле
где Тсв - температура самовоспламенениягорючего материала, К;
К - коэффициент, равныйотношению тепла, отданного горючему веществу, к энергии, запасенной в капле.
Если отсутствует возможность определениякоэффициента К, то принимают К=1.
Более строгое определение конечной температуры капли может быть проведенопри учете зависимости коэффициента теплоотдачи от температуры.
5.1.2.3. Электрические лампы накаливания общегоназначения
Пожарная опасность светильников обусловленавозможностью контакта горючей среды с колбой электрической лампынакаливания, нагретой выше температурысамовоспламенения горючей среды.
Черт. 3
Температура нагрева колбы электрической лампочки зависит от мощностилампы, ее размеров и расположения в пространстве. Зависимость максимальнойтемпературы на колбе горизонтально расположенной лампы от ее мощности и времениприведена на черт. 3.
5.1.2.4. Искры статического электричества
Энергию искры (Wи), Дж, способнойвозникнуть под действием напряжения между пластиной и каким-либо заземленнымпредметом, вычисляют по запасенной конденсатором энергии из формулы
(85)
где С - емкость конденсатора, Ф;
U - напряжение, В.
Разность потенциалов между заряженным телом и землей измеряютэлектрометрами в реальных условиях производства.
Черт. 4
Если Wн³0,4 Wм.э.з ( Wм.э.з -минимальная энергия зажигания среды), то искру статического электричестварассматривают как источник зажигания.
Реальную опасность представляет «контактная» электризация людей,работающих с движущимися диэлектрическими материалами. При соприкосновениичеловека с заземленным предметом возникают искры с энергией от 2,5 до 7,5 мДж. Зависимость энергии электрического разряда стела человека и от потенциала зарядов статическогоэлектричества показана на черт. 4.
5.1.3. Механические (фрикционные)искры (искры от удара и трения)
Размеры искр удара и трения, которые представляют собой раскаленную досвечения частичку металла или камня, обычно непревышают 0,5 мм, а их температура находится впределах температуры плавления металла. Температура искр, образующихся присоударении металлов, способных вступать вхимическое взаимодействие друг с другом с выделением значительного количестватепла, может превышать температуру плавления ипоэтому ее определяют экспериментально или расчетом.
Количество теплоты, отдаваемое искрой при охлаждении от начальнойтемпературы tн до температурысамовоспламенениягорючей среды tсв вычисляют по формуле (84), а время остывания t -следующим образом.
Отношение температур (Qп) вычисляютпо формуле
(86)
где tв -температура воздуха, °С.
Коэффициенттеплоотдачи (a), Вт×м-2×К-1,вычисляют по формуле
(87)
где wи - скорость полета искры, м×с-1.
Скорость искры (wи),образующейся при ударе свободно падающего тела, вычисляют по формуле
(88)
а при ударе о вращающееся тело по формуле
(89)
где n - частота вращения, с-1;
R - радиус вращающегося тела, м.
Скорость полета искр, образующихся при работе сударным инструментом, принимают равной 16 м×с-1, а с высекаемых при ходьбе в обуви,подбитой металлическими набойками или гвоздями, 12 м×с-1.
Критерий Био вычисляют по формуле
(90)
lи - коэффициент теплопроводности металлаискры при температуре самовоспламенения горючеговещества (tсв), Bт×м-1×K-1.
По значениям относительной избыточной температурыqпи критерия Вiопределяют по графику (черт. 5) критерий Фурье

Черт. 5
Длительность остывания частицы металла (t), с, вычисляют по формуле
Си- теплоемкость металла искры при температуресамовоспламенениягорючего вещества, Дж×кг-1×К-1;
rи - плотность металла искры притемпературе самовоспламенения горючего вещества, кг×м-3.
При наличии экспериментальных данных о поджигающей способности фрикционных искр вывод об их опасности дляанализируемой горючей среды допускается делать без проведения расчетов.
5.1.4. Открытое пламя и искры двигателей (печей)
Пожарная опасность пламени обусловлена интенсивностьютеплового воздействия (плотностью теплового потока), площадью воздействия,ориентацией (взаимнымрасположением), периодичностью и временем его воздействияна горючие вещества. Плотность теплового потока диффузионных пламен (спички,свечи, газовой горелки) составляет 18-40 кВт×м-2,а предварительно перемешанных (паяльные лампы, газовые горелки) 60-140 кВт×м-2 В табл. 6 приведены температурные ивременные характеристики некоторых пламен и малокалорийных источников тепла.
Таблица 6
| Наименование горящего вещества (изделия) или пожароопасной операции | Время горения (тления), мин | |
| Легковоспламеняющиеся и горючие жидкости | 880 | - |
| Древесина и лесопиломатериалы | 1000 | - |
| Природные и сжиженные газы | 1200 | - |
| Газовая сварка металла | 3150 | - |
| Газовая резка металла | 1350 | - |
| Тлеющая папироса | 320-410 | 2-2,5 |
| Тлеющая сигарета | 420-460 | 26-30 |
| Горящая спичка | 0,33 |
Открытое пламя опасно не только при непосредственномконтакте с горючей средой, но и при ее облучении. Интенсивность облучения (gр), Вт×м-2, вычисляют по формуле
(92)
где 5,7 -коэффициент излучения абсолютно черного тела, Вт×м-2×К-4;
eпр- приведенная степень черноты системы
eф - степень черноты факела (при горениидерева равна 0,7, нефтепродуктов 0,85);
eв - степень черноты облучаемого веществапринимают по справочной литературе;
Тф - температурафакела пламени, К,
Тсв - температурагорючего вещества, К;
j1ф - коэффициент облученности междуизлучающей и облучаемой поверхностями.
Критические значения интенсивности облученияв зависимости от времени облучения для некоторыхвеществ приведены в табл. 7.
Пожарная опасность искр печных труб, котельных, труб паровозов итепловозов, а также других машин, костров, в значительнойстепени определяется их размером и температурой. Установлено, что искрадиаметром 2 мм пожароопасна, если имеет температуруоколо 1000 °С, диаметром 3 мм - 800 °С, диаметром5 мм - 600 °С.
Теплосодержание и время остывания искры до безопасности температуры вычисляютпо формулам (76 и 91).При этом диаметр искры принимают 3 мм, а скорость полета искры (wи), м×с-1, вычисляют по формуле
(94)
где wв - скорость ветра,м×с-1;
H - высота трубы, м.
| Материал | Минимальная интенсивность облучения, Вт×м-2, при продолжительности облучения, мин | ||
| 3 | 5 | 15 | |
| Древесина (сосна влажностью 12 %) | 18800 | 16900 | 13900 |
| Древесно-стружечная плита плотностью 417 кг×м-3 | 13900 | 11900 | 8300 |
| Торф брикетный | 31500 | 24400 | 13200 |
| Торф кусковой | 16600 | 14350 | 9800 |
| Хлопок-волокно | 11000 | 9700 | 7500 |
| Слоистый пластик | 21600 | 19100 | 15400 |
| Стеклопластик | 19400 | 18600 | 17400 |
| Пергамин | 22000 | 19750 | 17400 |
| Резина | 19200 | 14800 | |
| Уголь | - | 35000 | 35000 |
5.1.5. Нагрев веществ, отдельных узлов иповерхностей технологического оборудования
Температуру нагрева электропровода при возникновении перегрузки (tж), °С, вычисляют по формуле
(95)
где tср.н - нормативная температура среды дляпрокладки провода, принимаетсяв соответствии с правилами электрооборудования, утвержденными Госэнергонадзором, °С;
Iф - фактический ток в проводнике, Д;
tж.п - нормативная температура жилы электропровода, °С;
Iдоп - допустимый токв проводнике, А.
Температура газа при сжатии в компрессоре иотсутствии его охлаждения (Тк), К, вычисляют по формуле
(96)
где Тн - температура газа в начале сжатия, К;
Рк, Рн - давление газа в конце и начале сжатия, кг×м-2;
k - показатель адиабаты (равен 1,67 и 1,4соответственно для одно- и двухатомных газов).
Для многоатомных газов показатель адиабаты вычисляютпо формуле
(97)
где Ср,Сv - изобарная и изохорная удельныемассовые теплоемкости газов, Дж×кг-1×К-1.
Температуру нагрева электрических контактов при возникновении повышенныхпереходных сопротивлений (tн.к), °С,вычисляют по формуле
где tср - температура среды, оС;
t- время, с;
tк- постоянная времени нагрева контактов, с;
Р -электрическая мощность, выделяющаяся в контактных переходах, Вт;
S - площадь поверхности теплообмена, м2;
aобщ- общий коэффициент теплоотдачи, Вт×м-2×К-1.
До максимальной температуры контакты нагреваются за время
(99)
Электрическую мощность (Р),выделяющуюся в контактных переходах вычисляют по формуле
(100)
где I - ток в сети, А;
Ui - падение напряжения в i-й контактной паре в электрическом контакте, В;
п - количество контактных пар вконтакте.
Значение падения напряжений на контактных парах Ui для деталей изнекоторых материалов приведены в табл. 8.
Таблица8
| Наименование материала | Алюминий | Графит | Латунь | Медь | Сталь |
| Алюминий | 0,28 |
|
|
|
|
| Графит | 3,0 | 3,0 |
|
|
|
| Латунь | 0,63 | 2,4 | 0,54 |
|
|
| Медь | 0,85 | 3,0 | 0,60 | 0,65 |
|
| Сталь | 1,4 | 1,6 | 2,1 | 3,0 | 2,5 |
Коэффициент теплообмена вычисляют в зависимости оттемпературы контактов по формулам:
(101)
(102)
Постоянную времени нагрева контактов вычисляют по формуле
(103)
где С - удельная массовая теплоемкостьметалла контактов, Дж×кг-1×K-1;
m - масса контактов кг.
Расчет tн.к проводят в следующейпоследовательности. Для заданной температуры tн.квычисляют aобщи С, а затем по формуле (98) вычисляют tн.к.Если выбранное и вычисленное значения tн.котличаются более чем на 5 %, то вычисление необходимо повторить.
Температуру подшипника скольжения при отсутствии смазки и принудительногоохлаждения (tп.с), оС,вычисляют по формуле
(104)
где tср - температура среды,°С;
a=0,44 fNdn -коэффициент мощности, Вт;
f - коэффициент трения скольжения;
N - сила, действующая на подшипник, кг;
d - диаметр шипа вала, м;
п - частота вращения вала, мин-1;
S - площадь поверхноститеплообмена (поверхность подшипника, омываемая воздухом), м2;
t- время работы подшипника, с;
- постояннаявремени нагрева подшипника, с;
m - масса подшипника, кг.
Время нагрева подшипника (t), с, до заданной температуры вычисляют по формуле
(105)
Практически при t=5tп температура подшипника достигаетмаксимального значения, вычисляемого по формуле
(106)
В формулах (106, 107, 108)коэффициент теплообмена aобщвычисляют по формулам (101 или 102).
Последовательность расчета температуры подшипника аналогична расчетутемпературы нагрева контактов.
5.1.6. Нагрев веществ при самовозгорании
Минимальную температуру среды, при которой происходит тепловоесамовозгорание, вычисляют из выражения
(107)
а время нагревания вещества до момента самовозгорания из выражения
(108)
где tc- температура окружающей среды, °С;
tc- время нагрева, ч;
Ap, Aв, np, nв -эмпирические константы;
S - удельная поверхность тел, м-1.
(109)
где F - полная наружная поверхность тела, м2;
V - объем тела, м3;
l, b, h - размеры тела вдоль соответствующей координатной оси, м; например, для прямоугольного параллелепипеда, l - длина, b - ширина, h - высота; для цилиндра: l=b=Dц, h -высота; для шара: l=b=h=Dши т. д.
5.2. Интенсивность отказов элементовоборудования, приборов и аппаратов
Зависимость интенсивностиповреждений оборудования, приводящих к взрыву, от взрывоопаснойконцентрации для производства дивинила, метана, этилена и аммиака приведена начерт. 6.

min и max l
- - - средние значения
1 - фланцы; 2 - задвижки;
3 - скруберы; 4 - осушители;
5 - конденсаторы; 6 - емкости:
7 - трубы
Черт. 6
Интенсивность отказов различных элементов технологических аппаратов изащитных устройств определяют по табл. 9, 10.
Таблица 9
Интенсивностьотказа элементов
| Наименование элемента | Интенсивность отказов (l×106).ч-1 | ||
| Нижний предел | Среднее значение | Верхний предел | |
| Механические элементы | |||
| Гильзы | 0,02 | 0,045 | 0,08 |
| Дифференциалы | 0,012 | 1,00 | 1,58 |
| Зажимы | 0,0003 | 0,0005 | 0,0009 |
| Кольца переменного сечения | 0,045 | 0,55 | 3,31 |
| Коробки коленчатого вала | 0,1 | 0,9 | 1,8 |
| Коробки передач: |
|
|
|
| соединительные | 0,11 | 0,2 | 0,36 |
| секторные | 0,051 | 0,912 | 1,8 |
| скоростные | 0,087 | 2,175 | 4,3 |
| Корпуса | 0,03 | 1,1 | 2,05 |
| Муфты: |
|
|
|
| сцепления | 0,04 | 0,06 | 1,1 |
| скольжения | 0,07 | 0,3 | 0,94 |
| Ограничители | 0,165 | 0,35 | 0,783 |
| Ограничительные сменные кольца | - | 0,36 | - |
| Противовесы: |
|
|
|
| большие | 0,13 | 0,3375 | 0,545 |
| малые | 0,005 | 0,0125 | 0,03 |
| Пружины | 0,004 | 0,1125 | 0,221 |
| Приводы: |
|
|
|
| со шкивом | - | 0,16 | - |
| дополнительного сервомеханизма | 0,86 | 12,5 | 36,6 |
| обычных сервомеханизмов | 0,86 | 12,5 | 36,6 |
| более экономичные | 0,6 | 3,3 | 18,5 |
| менее | 0,17 | 1,8 | 9,6 |
| Приводные ремни передач | - | 3,6 | - |
| Подшипники: |
|
|
|
| шариковые | 0,02 | 0,65 | 2,22 |
| соединительных муфт | 0,008 | 0,21 | 0,42 |
| роликовые | 0,2 | 0,5 | 1,0 |
| Шарикоподшипники: |
|
|
|
| мощные | 0,072 | 1,8 | 3,53 |
| маломощные | 0,035 | 0,875 | 1,72 |
| Рессоры маломощные | - | 0,112 | - |
| Ролики | 0,02 | 0,075 | 0,1 |
| Соединения: |
|
|
|
| механические | 0,02 | 0,02 | 1,96 |
| вращающиеся | 6,89 | 7,50 | 9,55 |
| паяные | 0,0001 | 0,004 | 1,05 |
| Соединительные коробки | 0,28 | 0,4 | 0,56 |
| Сервомеханизмы | 1,1 | 2,0 | 3,6 |
| Стержни | 0,15 | 0,35 | 0,62 |
| Устройство связи: |
|
|
|
| направленные | 0,065 | 1,52 | 3,21 |
| поворотные | 0,001 | 0,025 | 0,049 |
| гибкие | 0,027 | 0,039 | 1,348 |
| жесткие | 0,001 | 0,025 | 0,049 |
| Фильтры механические | 0,045 | 0,3 | 1,8 |
| Шестерни | 0,002 | 0,12 | 0,98 |
| Штанги плунжера | - | 0,68 | - |
| Штифты: |
|
|
|
| с нарезкой | 0,006 | 0,025 | 0,1 |
| направляющие | 0,65 | 1,625 | 2,6 |
| Шарниры универсальные | 1,12 | 2,5 | 12,0 |
| Шасси | - | 0,921 | - |
| Эксцентрики | 0,001 | 0,002 | 0,004 |
| Пружины | 0,09 | 0,22 | 0,42 |
| Теплообменники | 2,21 | 15,0 | 18,6 |
| Гидравлические и пневматические элементы | |||
| Диафрагмы | 0,1 | 0,6 | 0,9 |
| Источники мощности гидравлические | 0,28 | 6,1 | 19,3 |
| Задвижки клапанов | 0,112 | 5,1 | 44,8 |
| Задвижки возбуждения | 0,112 | 0,212 | 2,29 |
| Клапаны: |
|
|
|
| шариковые | 1,11 | 4,6 | 7,7 |
| рычажные | 1,87 | 4,6 | 7,4 |
| нагруженные | 0,112 | 5,7 | 18,94 |
| сверхскоростные | 1,33 | 3,4 | 5,33 |
| обходные | 0,16 | 2,2 | 8,13 |
| стопорные | 0,112 | 2,3 | 4,7 |
| контрольные | 0,24 | 1,9 | 2,2 |
| дренажные | - | 0,224 | - |
| наполнительные | 0,1 | 0,112 | 1,12 |
| поплавковые | 5,6 | 8,0 | 11,2 |
| горючего | 1,24 | 6,4 | 37,2 |
| давления | 0,112 | 5,6 | 32,5 |
| первичные | 0,165 | 6,3 | 14,8 |
| двигателя | - | 37,2 | - |
| регулятора | - | 0,56 | - |
| разгрузочные: | 0,224 | 5,7 | 14,1 |
| давления | 0,224 | 3,92 | 32,5 |
| термические | 5,6 | 8,4 | 12,3 |
| резервуарные | 2,70 | 6,88 | 10,8 |
| селекторные | 3,7 | 16,0 | 19,7 |
| регулировочные | 0,67 | 1,10 | 2,14 |
| ручные переключающие | 0,112 | 6,5 | 10,2 |
| скользящие | 0,56 | 1,12 | 2,28 |
| ползунковые | - | 1,12 | - |
| соленоидные: | 2,27 | 11,0 | 19,7 |
| трехходовые | 1,87 | 4,6 | 7,41 |
| четырехходовые | 1,81 | 4,6 | 7,22 |
| импульсные | 2,89 | 6,9 | 9,76 |
| перепускные | 0,26 | 0,5 | 2,86 |
| разгрузочные | 3,41 | 5,7 | 15,31 |
| Сервоклапаны | 16,8 | 30,0 | 56,0 |
| Манометры | 0,135 | 1,3 | 15,0 |
| Моторы гидравлические | 1,45 | 1,8 | 2,25 |
| Нагнетатели | 0,342 | 2,4 | 3,57 |
| Насосы с машинным приводом | 1,12 | 8,74 | 31,3 |
| Поршни гидравлические | 0,08 | 0,2 | 0,85 |
| Приводы постоянной скорости пневматические | 0,3 | 2,8 | 6,2 |
| Прокладки: |
|
|
|
| пробковые | 0,003 | 0,04 | 0,077 |
| пропитанные | 0,05 | 0,137 | 0,225 |
| из сплава «Монель» | 0,0022 | 0,05 | 0,908 |
| кольцеобразные | 0,01 | 0,02 | 0,035 |
| феноловые (пластмассовые) | 0,01 | 0,05 | 0,07 |
| резиновые | 0,011 | 0,02 | 0,03 |
| Регуляторы: |
|
|
|
| давления | 0,89 | 4,25 | 15,98 |
| гидравлические | - | 3,55 | - |
| пневматические | 3,55 | 7,5 | 15,98 |
| Резервуары гидравлические | 0,083 | 0,15 | 0,27 |
| Сильфоны | 0,09 | 2,287 | 6,1 |
| Соединения: |
|
|
|
| гидравлические | 0,012 | 0,03 | 2,01 |
| пневматические | 0,021 | 0,04 | 1,15 |
| Соединительные муфты гидравлические | - | 0,56 | - |
| Трубопроводы | 0,25 | 1,1 | 4,85 |
| Цилиндры | 0,005 | 0,007 | 0,81 |
| Цилиндры пневматические | 0,002 | 0,004 | 0,013 |
| Шланги: |
|
|
|
| высокого давления | 0,157 | 3,93 | 5,22 |
| гибкие | - | 0,067 | - |
| пневматические | - | 3,66 | - |
Интенсивностьотказов защитных устройств
| Наименование элемента | Среднее значение интенсивности отказов (l×106), ч-1 |
| Индикаторы взрывов автоматических систем подавления взрывов (АСПВ) | 0,25 |
| Блоки управления автоматических систем подавления взрывов (на каждый канал) | 0,12 |
| Гидропушки ГП (АСПВ) | 0,27 |
| Оросители АС (АСПВ) | 0,32 |
| Пламеотсекатели ПО (АСПВ) | 0,39 |
| Кабели (АСПВ) | 0,047 |
| Предохранительные мембраны | 0,0112 |
1. Экономическаяоценка эффективности затрат на обеспечение пожарной безопасности
1.1. Эффективность затрат на обеспечение пожарной безопасностинароднохозяйственных объектов является обязательным условием притехнико-экономическом обосновании мероприятий, направленных на повышениепожарной безопасности. Расчеты экономического эффекта могут использоваться приопределении цен на научно-техническую продукцию противопожарного назначения, атакже для обоснования выбора мероприятий по обеспечению пожарной безопасностипри формировании планов научно-исследовательских иопытно-конструкторских работ, экономического исоциального развития объектов.
Эффективность затрат на обеспечение пожарной безопасности определяетсякак социальными (оценивает соответствиефактического положения установленному социальному нормативу), так иэкономическими (оценивает достигаемый экономический результат) показателями.
Экономический эффект отражает собой превышение стоимостных оценок конечныхрезультатов над совокупными затратами ресурсов (трудовых, материальных,капитальных и др.) за расчетный период. Конечным результатом создания ииспользования мероприятий по обеспечению пожарной безопасности являетсязначение предотвращенных потерь, которые рассчитывают исходя из вероятностивозникновения пожара и возможных экономических потерь от него до и послереализации мероприятия по обеспечению пожарной безопасности на объекте.Численное значение затрат на мероприятия по обеспечению пожарной безопасностиопределяется на основе бухгалтерской отчетности объекта защиты.
1.2. Затраты на обеспечение пожарной безопасности следует считатьэффективными с социальной точки зрения, если они обеспечивают выполнениенорматива по исключению воздействия на людей опасных факторов пожара,установленного настоящим стандартом (разд. 1 и приложение2).
1.3. Экономический эффект определяется по всему циклу реализациимероприятия по обеспечению пожарной безопасности за расчетный период времени,включающий в себя время проведения научно-исследовательских иопытно-конструкторских работ, освоение и производство элементов систем имероприятий по обеспечению пожарной безопасности, а также время использованиярезультатов осуществления мероприятия на охраняемом объекте.
За начальный год расчетного периода принимается год начала финансированияработ по осуществлению мероприятия. Началом расчетного периода, как правило, считаетсяпервый год выполнения научно-исследовательских и опытно-конструкторских работ.Конечный год расчетного периода определяется моментом завершения использованиярезультатов осуществления мероприятия. Конечный год использования результатовмероприятия по обеспечению пожарной безопасности определяется разработчиком исогласовывается с основным заказчиком (потребителем). При его установлениицелесообразно руководствоваться: плановыми сроками замены элементов систем имероприятий по обеспечению пожарной безопасности; сроками службы элементов исистем по обеспечению пожарной безопасности (с учетом морального старения),указанными и документации на них (ГОСТ, ОСТ, ТУ, паспорт и др.); экспертнойоценкой при отсутствии нормативов.
1.4. При проведении расчетов экономического эффекта разновременные затраты и результаты приводятся к единому моментувремени - расчетному году. В качестве расчетногогода принимается год, предшествующий началу использования мероприятия пообеспечению пожарной безопасности. Приведение выполняется умножением значенийзатрат и результатов предотвращенных потерьсоответствующего года на коэффициент дисконтирования (at), вычисляемый по формуле
(110)
где Е -норматив приведения разновременных затрат и результатов, численно равныйнормативу эффективности капитальных вложений (Е=Ен=0,1);
tp- расчетный год;
t - год, затраты и результатыкоторого приводятся к расчетному году.
1.5. В число возможных вариантов реализациимероприятия по обеспечению пожарной безопасностиобъекта на этапе технико-экономического обоснованияотбираются те, которые отвечают ограничениям технического и социальногохарактера. В число рассматриваемых вариантов включаются наилучшие,технико-экономические показатели которых превосходят или соответствуют лучшиммировым и отечественным достижениям. При этом должны учитываться возможностизакупки техники за рубежом, организации собственного производства на основеприобретения лицензий, организации совместного производства с зарубежнымипартнерами. Лучшим признается вариант мероприятия по обеспечению пожарнойбезопасности, который имеет наибольшее значение экономического эффекта либо приусловии тождества предотвращаемых потерь - затраты на его достижениеминимальны.
Если целью осуществления мероприятия по обеспечению пожарной безопасностиявляется не непосредственное предотвращение пожара, а обеспечение, достовернойинформации об основных характеристиках и параметрах уровня обеспечения пожарнойбезопасности, контроля за соблюдением правил пожарной безопасности, в случаеневозможности определения влияния данного мероприятия на стоимостную оценкупредотвращенных потерь, то при сравнении альтернативных вариантов пообеспечению пожарной безопасности лучшим принимается тот, затраты на достижениекоторого минимальны.
1.6. Экономический эффект затрат на обеспечение пожарной безопасностиопределяется по результатам эксплуатации за расчетный период. Экономическийэффект за расчетный период независимо от направленности мероприятия пообеспечению пожарной безопасности (разработка, производство и использованиеновых, совершенствование существующих элементов систем и мероприятий пообеспечению пожарной безопасности) (ЭT), руб., рассчитывают по формуле
(111)
или
(112)
где ЭT- экономический эффект реализации мероприятия по обеспечению пожарнойбезопасности за расчетный период (T);
Ппр t, Ппр T - стоимостная оценкапредотвращенных потерь соответственно за расчетный период (T) и в году (t) расчетногопериода;
ЗТ, Зt - стоимостная оценказатрат на реализацию мероприятия по обеспечению пожарной безопасностисоответственно за расчетный период (T) и в году (t)расчетного периода;
at, atпр - коэффициентыприведения разновременных соответственно затрат и предотвращенных потерь красчетному году;
tн - начальный год расчетного периода;
tк - конечный год расчетного периода;
t - текущий год расчетного периода.
1.7. Затраты на реализацию мероприятия по обеспечению пожарнойбезопасности за расчетный период (ЗТ),руб., рассчитывают по формуле
(113)
где Знио.к.р- затраты на проведение научно-исследовательских и опытно-конструкторскихработ, руб.;
- затраты припроизводстве мероприятий по обеспечению пожарной безопасности, руб.;
- затраты прииспользовании мероприятий по обеспечению пожарной безопасности (без учетазатрат на приобретение созданных элементов мероприятий), руб.
Затраты при производстве (использовании) мероприятий по обеспечениюпожарной безопасности (ЗТп(и)),руб., рассчитывают по формуле
(14)
где 3t - значение затрат всех ресурсов в году t;
Иt - текущие издержкипри производстве (использовании) мероприятий по обеспечению пожарнойбезопасности в году t;
Kt - единовременные затраты припроизводстве (использовании) мероприятий в году t;
Лt - остаточнаястоимость (ликвидационное сальдо) основных фондов, выбывших в году t.
При оценке остаточной стоимости фондов могут быть рассмотрены триразличных случая:
а) созданные ранее фонды, которые высвобождаются в году за ненадобностью,могут до конца своего срока службы эффективно использоваться где-то в другомместе. В этом случае в качестве Лt следует учитыватьостаточную стоимость фондов;
б) фонды в конце расчетного периода, отслужившие лишь часть своего срокаслужбы и эффективно функционирующие. В этом случае в качестве Лt следует учитывать остаточную стоимость фондов;
в) фонды, высвобожденные за ненадобностью в году t, которыенигде более по своему назначению использованы быть не могут. В этом случае вкачестве Лt следует учитывать ликвидационноесальдо.
2. Расчетэкономических потерь от пожара
2.1. Значение предотвращенных потерь (Ппр),руб., определяют по формуле
(115)
где П1,П2 - экономические потериот одного пожара на охраняемом объекте соответственно до и после реализациимероприятий по обеспечению пожарной безопасности, руб.
Экономические потери (П1и П2) от пожара на объектеза год могут быть определены на основании статистических данных о пожарах ииспользовании расчетного метода (разд. 1,2, 3).
2.2. При использовании статистических данных экономические потери (Пэj), руб., от j-го пожара, вычисляют по формуле
(116)
где Пэj - экономические потери от j-го пожара, руб;
Пн.бj -потери части национального богатства от j-го пожара, руб;
По.рj - потери в результатеотвлечения ресурсов на компенсацию последствий j-гопожара, руб;
Пн.вj -потери из-за неиспользования возможностей вследствие j-гo пожара, руб;
Пс.эj -социально-экономические потери от j-го пожара, руб;
N - количествопожаров за год.
2.3. Потери части национального богатствасостоят из материальных ценностей, уничтоженных или поврежденных в результатевоздействия опасных факторов пожара и его вторичных проявлений, а также средствпожаротушения.
Потери части национального богатства от j-гo пожара (Пн.бj), руб, вычисляют по формуле
(117)
где Пуп.о.фj -потери в результате уничтожения j-м пожаром основныхпроизводственных фондов, руб.;
Ппп.о.фj -потери в результате повреждения j-м пожаром основныхпроизводственных фондов, руб.;
Пун.о.фj -потери в результате уничтожения j-мпожаром основных непроизводственных фондов, руб.;
Ппн.о.фj - потери врезультате повреждения j-мпожаром основных непроизводственных фондов, руб.;
Пу(п)т.м.цj - потери врезультате уничтожения (повреждения) j-м пожаром товарно-материальныхценностей (оборотных фондов, материальных ресурсовтекущего потребления) руб.;
Пу(п)и.мj - потери в результатеуничтожения (повреждения) j-мпожаром личного имущества населения, руб.;
Пупр.рj - потери в результатеуничтожения j-м пожаром природныхресурсов, руб.;
2.4. Потери в результате отвлечения ресурсов накомпенсацию последствий пожара - приведенные затраты на восстановительныеработы на объекте, на котором произошел пожар.
Потери в результате отвлечения ресурсов на компенсацию последствий j-го пожара (По.рj), руб. вычисляют по формуле
(118)
где Поо.рj -потери в результате отвлечения ресурсов на восстановление объекта после j-го пожара, руб.;
Ппо.рj -потери в результате отвлечения ресурсов на восстановление природных ресурсов, пострадавших от j-го пожара, руб.;
2.5. Потери из-за неиспользования возможностей - часть прибыли,недополученная объектом в результате его простоя и выбытия трудовых ресурсов изпроизводственной деятельности в результате пожара.
Потери из-за неиспользования возможностей вследствие j-го пожараПн.вj руб.; вычисляют по формуле
(119)
где Пп.оj - потери от простоя объекта врезультате j-го пожара, руб.;
Пв.трj - потери при выбытиитрудовых ресурсов из производственной деятельности в результате j-го пожара, руб.
2.6. Социально-экономические потери - затраты на проведение мероприятийвследствие гибели и травмирования людей на пожаре.
Социально-экономические потери от j-го пожара (Пс.эj), руб., вычисляют поформуле
(120)
где Птс.эj -социально-экономические потери от травмированиялюдей на j-м пожаре, руб.;
Пгс.эj -социально-экономические потери от гибели людей на j-м пожаре,руб.
Социально-экономические потери от травмирования людей на j-м пожаре (Птс.эj) вычисляют по формуле
(121)
где Sвj - выплаты пособий повременной нетрудоспособности травмированным на j-м пожарелюдям, руб.;
Sи.пj - выплаты пенсийлицам, ставшим инвалидами в результате j-гопожара, руб.;
Sклj - расходы наклиническое лечение лиц, травмированных на j-мпожаре, руб.;
Scк.лj - расходы на санаторно-курортноелечение лиц, травмированных на j-м пожаре, руб.
Социально-экономические потери при гибелилюдей в результате j-го пожара (Пгс.эj), руб., вычисляют поформуле
(122)
где Sпог- выплаты пособий на погребение погибших в результате j-го пожара лиц, руб.;
Sп.кj - выплаты пенсий послучаю потери кормильца в результате j-гопожара, руб.
2.7. Расчет составляющихэкономических потерь от пожара
Потери в результате уничтожения j-м пожаром основных производственных фондов (Пуп.о.фj), руб., вычисляют по формуле
(123)
где Soi- остаточная стоимость основных фондов i-го вида, руб.×ед-1;
Sп.кj - стоимостьматериальных ценностей i-го вида, годных для дальнейшегоиспользования, руб.×ед-1;
Sлi -ликвидационная стоимость материальных ценностей i-го вида, руб.×ед-1;
п - количество видов основныхфондов, ед.
2.8. Потери в результате повреждения j-м пожаром основныхпроизводственных фондов (Ппп.о.ф),руб., вычисляют по формуле
(124)
где g - коэффициент, учитывающий повреждениематериальных ценностей;
Кэ- удельный вес стоимости конструктивных элементов в общей стоимостиматериальных ценностей, %.
2.9. Потери в результате уничтожения и повреждения j-м пожаромосновных непроизводственных фондов вычисляют следующим образом.
Если по основным непроизводственным фондам начисляются амортизационныеотчисления, то потери стоимости при их уничтожении вычисляют по формуле (123), а при повреждении - по формуле (124).
Если по основным непроизводственным фондам не начисляются амортизационныеотчисления, то потери стоимости вычисляют по формулам:
при уничтожении
(125)
при повреждении
(126)
где Sпi - первоначальная стоимость основных фондов i-го вида, руб.×ед-1.
2.10. Потери в результате уничтожения (повреждения) товарно-материальныхценностей (оборотных фондов, материальных ресурсов текущего потребления) j-м пожаром (Пу(п)т.м.ц),руб., вычисляют по формуле
(127)
где Sт.м.цi - общая стоимостьтоварно-материальных ценностей i-го вида на моментпожара, руб.;
Sнт.м.цi - стоимостьтоварно-материальных ценностей i-говида, оставшихся после пожара, руб.;
Sопт.м.цi - стоимостьповрежденных товарно-материальных ценностей i-го вида с учетом ихобесценивания, руб.;
2.11. Потери, связанные с уничтожением (повреждением) личного имуществанаселения j-м пожаром, вычисляют следующимобразом:
по застрахованному имуществу на основе данных органов государственногострахования по расчетной сумме потерь, исходя из государственных розничных цен,действующих на момент пожара, за вычетом стоимости износа и остатков, годных кдальнейшему использованию;
по незастрахованному имуществу при отсутствии достоверных данных исходяиз средних статистических потерь от пожара.
2.12. Потери в результате отвлечения ресурсов на компенсацию последствий j-го пожара (на восстановление объекта и природных ресурсовпосле пожара (По.рj), руб., вычисляют поформуле
(128)
где Иi - i-e издержки при восстановительных работах, руб.;
Ki- i-e единовременные дополнительныевложения, руб.;
Ен- нормативный коэффициент эффективности капитальных вложений;
m - количество видов затрат на восстановительные работы.
2.13. Потери от простоя объекта в результате j-гo пожара (Пп.оj), руб., вычисляют по формуле
(129)
где ПЗ.П.Пj - заработная плата иусловно-постоянные расходы за время простоя объектав результате j-го пожара, руб.;
ПН.Пj- прибыль, недополученная за период простоя объекта в результате j-го пожара, руб.;
2.14. Потери при выбытии трудовых ресурсов из производственнойдеятельности в результате j-го пожара(ПВ.Т.Рj), руб. рассчитываюттолько для сферы материального производства по формуле
(130)
где ПВТ.Т.Рj - потери при выбытиитрудовых ресурсов из производственной деятельности в результате ихтравмирования в процессе j-го пожара,руб.;
ПВГ.Т.Рj - потери при выбытии трудовыхресурсов из производственной деятельности в результате их гибели на j-м пожаре, руб.
2.15. Потери при выбытии трудовых ресурсов из производственнойдеятельности в результате их травмирования в процессе j-го пожара(ПВ.Т.Рj) вычисляют по формуле
(131)
где КИ.Д- коэффициент, учитывающий потерю части национального дохода;
ЗДj - заработная плата i-го работника, руб.×дни-1;
ТВ..Тj -продолжительность выбытия из производственной деятельности i-го травмированного, дни;
s- количество травмированных, чел.
2.16. Потери при выбытии трудовых ресурсов из производственнойдеятельности в результате их гибели на j-мпожаре (ПВ.Т.Рj), руб., вычисляют поформуле
(132)
где Ht - доля национального дохода,недоданная одним работающим, по отраслям народного хозяйства, руб.×дни-1;
TР.Д - потеря рабочих дней в результате гибелиодного работающего;
X - количество погибших, чел.
2.17. Социально-экономические потери при травмировании людей подвоздействием j-го пожара включают: выплатыпособий по временной нетрудоспособности (без учетавыплаты по инвалидности) пострадавшим на j-м пожаре (SBj),руб., вычисляют по формуле
(133)
где WВi - значение i-го пособия по временной нетрудоспособности, руб.×дни-1;
ТВi - период выплаты i-го пособия по временнойнетрудоспособности, дни;
sВ - количество травмированных (безоформления инвалидности), чел.
2.18. Выплаты пенсий инвалидам, пострадавшим на j-м пожаре(SИj), руб., вычисляют по формуле
(134)
где
- значение i-й пенсии инвалидам i-й группы, руб.×дни-1;
sН - количество травмированных, получившихинвалидность, чел.;
TИi - период выплаты i-й пенсии (пособия) по инвалидности, дни.
2.19. Расходы на клиническое лечение пострадавшим на j-м пожаре (SКЛj), руб., вычисляют по формуле
(135)
где SД - средняястоимость доставки одного пострадавшего в больницу, руб.;
Sб- средние расходы больницы на одного пострадавшего, руб.×дни-1;
Тб - периоднахождения в больнице i-го пострадавшего, дни;
sб - количество травмированных, прошедшихклиническое лечение, чел.
2.20. Расходы на санаторно-курортное лечение пострадавших на j-м пожаре (SC.K.Л j), руб., вычисляют по формуле
(136)
где Sп.сi - средние расходы напроезд в санаторий i-го пострадавшего, руб.;
Sсi - средние расходы санатория на i-гопострадавшего, руб.;
sc- количество травмированных, прошедших курс лечения в санатории, чел.
2.21. Социально-экономические потери при гибели людей в результате i-го пожара включают: выплаты пособий на погребение погибшихна i-м пожаре (Sпоr j), руб., вычисляют поформуле
(137)
где Wпоril - значение i-го пособия напогребение l-й группы погибших,
руб./чел-1;
xl- количество погибших l-й группы, чел.
2.22. Выплаты пенсий по случаю потери кормильца на j-м пожаре(Sп.кj), руб., вычисляют поформуле
(138)
где Wп.кil - значение i-й пенсии по случаю потери кормильца l-й группы,руб. ×дни-1;
xп.к - количество погибших, имевших кого-либо на иждивении,чел.;
Тп.кi - период выплатыпенсии по случаю потери кормильца i-й семье погибшего, дни.
3. Расчет ожидаемыхэкономических потерь от возможного пожара
Прогноз экономических потерь от возможного пожара производится на основерасчета параметров развития пожара на объекте (в здании), а также данных обэффективности элементов и систем обеспечения пожарной безопасности.
Математическое ожидание экономических потерь от пожара (М (П))вычисляют по формуле
(139)
где М (Пн.б) - математическоеожидание потерь от пожара части национального богатства, руб.×год-1;
М (По.р) - математическоеожидание потерь в результате отвлечения ресурсов на компенсацию последствийпожара, руб.×год-1:
М (Пп.о) - математическое ожидание потерь от простоя объекта,обусловленного пожаром, руб.×год-1.
3.1. Математическое ожидание потерь от пожара части национальногобогатства (М(Пн.б)) вычисляют по формуле
(140)
где Fп - площадь возможного пожара на объекте, м2;
См.удц - удельная стоимость материальныхценностей, руб.×м-2;
Rу - доляуничтоженных материальных ценностей на площади пожара на объекте;
Сруд -удельная стоимость ремонтных работ, руб×м-2;
Rп - доляповрежденных материальных ценностей на площади пожара на объекте;
Qп -вероятность возникновения пожара в объекте, год-1 (см. приложение 3).
3.2. Математическое ожидание потерь в результате отвлечения ресурсов накомпенсацию последствий пожара (М(По.р)) вычисляют по формуле
(141)
где Иуд - удельные издержки привосстановительных работах, руб.×м-2;
Кзуд- удельные единовременные вложения в здание (сооружение), руб.×м-2,
Коуд -удельные единовременные вложения в оборудование, руб.×м-2.
3.3. Математическое ожидание потерь от обусловленного пожаром простояобъекта (недополученная прибыль) (М(Пп.о)) вычисляют по формуле
(142)
где Ппр - прибыль объекта, руб.×дни-1;
Тпр -продолжительность простоя объекта, дни.
4. Метод определения площади пожара
Настоящий метод предназначен для определения площади пожара, значениекоторой необходимо при расчете потерь от пожара на объекте. Расчет площадипожара проводят для горючих и легковоспламеняющихся жидкостей принимаетсяравным площади ее размещения или площади аварийного разлива.
4.1. Площадь пожара при свободном горении твердых горючих и трудногорючихматериалов вычисляют:
для помещений с объемом V<400м3 по формуле
(143)
где И -линейная скорость распространения по поверхности материала пожарной нагрузки, м×с-1;
Т - текущее время, с;
F - площадь, занимаемая пожарнойнагрузкой м2;
для помещений с объемом V>400 м3 по формуле
(144)
где ti- время локализации пожара, с;
tн.с.п -продолжительность начальной стадии пожара, с.
4.2. Минимальную продолжительность начальной стадии пожара в помещенииопределяют в зависимости от объема помещения высоты помещения и количестваприведенной пожарной нагрузки (черт. 7, 8).
4.3. Количество приведенной пожарной нагрузки (g)вычисляют по формуле
(145)
где gi - количество приведенной пожарной нагрузки, состоящей из i-го горючего и трудногорючегоматериала.
H=6,6; 1-g=(2,4-14) кг×м-2 ; 2-g=(67-110)кг×м-2;3-g=640 кг×м-2 ;
H=7,2 м; 1-g=(60-66) кг×м-2; 2-g=(82-155)кг×м-2; 3-g=200 кг×м-2 ;
H=8м; 1-g=60 кг×м-2; 2-g=(140-160) кг×м-2 ; 3-g=(210-250)кг×м-2;
H=4,8; g=(169-70) кг×м-2
Черт. 7
1-H=3 м; 2-H=6 м; 3-H=12 м
Значение (gi) вычисляют по формуле
(146)
где gмi - количество горючегои трудногорючего i-го материала на единицу площади,кг×м-2;
Qрнi - теплота сгорания i-го материала, мДж×кг-1.
4.4. Вычисляют продолжительность начальной стадии пожара по формулам:
для помещений с объемом V£3×103×м3:
(147)
для помещений с объемом V>3×103×м3:
(148)
где tпрн.с.п- минимальная продолжительность начальной стадии пожара, с, определяют всоответствии с черт. 7, 8;
yср- средняя скорость потери массы пожарной нагрузки в начальной стадии пожара, кг×м-2×с-1,вычисляют по формуле
(149)
где yi - скорость потеримассы в начальной стадии пожара i-го материала пожарнойнагрузки, кг×м-2×с-2.
Qрн.ср - средняя теплота сгоранияпожарной нагрузки, МДж×кг-1, вычисляют по формуле
(150)
u - линейная скорость распространения пламени, м×с-1.
Допускается в качестве величины ибрать максимальное значение для составляющих пожарную нагрузку материалов.
Значения величин yср, Qнр,и для основных горючих материаловприведены в табл. 11, 12.
Таблица 11
Линейная скорость распространения пламенипо поверхности материалов
| Материал | Линейная скорость распространения пламени по поверхности Х102 м×с-1 |
| 1. Угары текстильного производства в разрыхленном состоянии | 10 |
| 2. Корд | 1,7 |
| 3. Хлопок разрыхленный | 4,2 |
| 4. Лен разрыхленный | 5,0 |
| 5. Хлопок+капрон (3:1) | 2,8 |
| 6. Древесина в штабелях при влажности, %: |
|
| 8-12 | 6,7 |
| 16-18 | 3,8 |
| 18-20 | 2,7 |
| 20-30 | 2,0 |
| более 30 | 1,7 |
| 7. Подвешенные ворсистые ткани | 6,7-10 |
| 8. Текстильные изделия в закрытом складе при загрузке .100 от м-2 | 0,6 |
| 9. Бумага в рулонах в закрытом складе при загрузке 140 от м-2 | 0,5 |
| 10. Синтетический каучук в закрытом складе при загрузке свыше 290 от м-2 | 0,7 |
| 11. Деревянные покрытия цехов большой площади, деревянные стены, отделанные древесноволокнистыми плитами | 2,8-5,3 |
| 12. Печные ограждающие конструкции с утеплителем из заливочного ППУ | 7,5-10 |
| 13. Соломенные и камышитовые изделия | 6,7 |
| 14. Ткани (холст, байка, бязь): |
|
| по горизонтали | 1,3 |
| в вертикальном направлении | 30 |
| в направлении, нормальном к поверхности тканей, при расстоянии между ними 0,2 м | 4,0 |
| 15. Листовой ППУ | 5,0 |
| 16. Резинотехнические изделия в штабелях | 1,7-2 |
| 17. Синтетическое покрытие «Скортон» при Т= 180 °С | 0,07 |
| 18. Торфоплиты в штабелях | 1,7 |
| 19. Кабель ААШв1х120; АПВГЭЗх35+1х25; АВВГЗх35+1х25: |
|
| в горизонтальном тоннели сверху вниз при расстоянии между полками 0,2 м | 0,3 |
| в горизонтальном направлении | 0,33 |
| в вертикальном тоннели в горизонтальном направлении при расстоянии между рядами 0,2-0,4 | 0,083 |
Средняя скорость выгорания и низшая теплотасгорания веществ и материалов
| Вещества и материалы | Скорость потери массы ×103, кг×м-2×с-1 | Низшая теплота сгорания, кДж×кг-1 |
| Бензин | 61,7 | 41870 |
| Ацетон | 44,0 | 28890 |
| Диэтиловый спирт | 60,0 | 33500 |
| Бензол | 73,3 | 38520 |
| Дизельное топливо | 42,0 | 48870 |
| Керосин | 48,3 | 43540 |
| Мазут | 34,7 | 39770 |
| Нефть | 28,3 | 41870 |
| Этиловый спирт | 33,0 | 27200 |
| 30,0 | 41870 | |
| Изопропиловый спирт | 31,3 | 30145 |
| Изопентан | 10,3 | 45220 |
| Толуол | 48,3 | 41030 |
| Натрий металлический | 17,5 | 10900 |
| Древесина (бруски) 13,7 % | 39,3 | 13800 |
| Древесина (мебель в жилых и административных зданиях 8-10 %) | 14,0 | 13800 |
| Бумага разрыхленная | 8,0 | 13400 |
| Бумага (книги, журналы) | 4,2 | 13400 |
| Книги на деревянных стеллажах | 16,7 | 13400 |
| Кинопленка триацетатная | 9,0 | 18800 |
| Карболитовые изделия | 9,5 | 26900 |
| Каучук CKC | 13,0 | 43890 |
| Каучук натуральный | 19,0 | 44725 |
| Органическое стекло | 16,1 | 27670 |
| Полистирол | 14,4 | 39000 |
| Резина | 11,2 | 33520 |
| Текстолит | 6,7 | 20900 |
| Пенополиуретан | 2,8 | 24300 |
| Волокно штапельное | 6,7 | 13800 |
| Волокно штапельное в кипах 40×40×40 см | 22,5 | 13800 |
| Полиэтилен | 10,3 | 47140 |
| Полипропилен | 14,5 | 45670 |
| Хлопок в тюках 190 кгхм-3 | 2,4 | 16750 |
| Хлопок разрыхленный | 21,3 | 15700 |
| Лен разрыхленный | 21,3 | 15700 |
| Хлопок+капрон (3:1) | 12,5 | 16200 |
Настоящий метод распространяетсяна электротехнические изделия, радиоэлектронную аппаратуру и средствавычислительной техники (электрические изделия) и устанавливает порядок экспериментальногоопределения вероятности возникновения пожара в(от) них.
Параметры и условия испытаний для конкретного изделия должны содержатьсяв нормативно-технической документации на изделие.
1. Сущность метода
1.1. Метод разработан в соответствии с приложением 3.
1.2. Вероятность возникновения пожара в (от) электрическом(го) изделии(я)является интегральным показателем, учитывающим как надежность(интенсивность отказов) самого изделия и его защитной аппаратуры (тепловой иэлектрической), так и вероятность загорания(достижения критической температуры) частями изделия, поддерживающимиконструкционными материалами или веществами и материалами, находящимися в зоне его радиационного излучения либо взоне поражения электродугой или разлетающимися раскаленными (горящими) частями(частицами) от изделия.
1.3. Изделие считается удовлетворяющим требованиянастоящего стандарта, если оно прошло испытание в характерном пожароопасномрежиме и вероятность возникновения пожара в нем (от него) не превысит 10-6в год.
Комплектующие изделия (резисторы, конденсаторы, транзисторы,трансформаторы, клеммные зажимы, реле и т.д.) допускаются к применению, еслиони отвечают требованиям пожарной безопасности соответствующих нормативно-техническихдокументов и для них определены интенсивности пожароопасных отказов,необходимые для оценки вероятности возникновения пожара в конечном изделии.
1.4. Характерный аварийный пожароопасный режим (далее - характерныйпожароопасный режим) электротехнического изделия - это такой режим работы, прикотором нарушается соответствие номинальных параметров и нормальных условийэксплуатации изделия или его составных частей, приводящий его к выходу из строяи создающий условия возникновения загорания.
1.5. Характерный пожароопасный режим устанавливают в ходе предварительныхиспытаний. Он должен быть из числа наиболее опасных в пожарном отношениирежимов, которые возникают в эксплуатации и, по возможности, имеют наибольшуювероятность. В дальнейшем выбранный пожароопасный режим указывают в методикеиспытания на пожарную опасность.
В зависимости от вида и назначения изделия характерные испытательныепожароопасные режимы создают путем:
увеличения силы тока, протекающего через исследуемое электрическоеизделие или его составную часть (повышение напряжения, короткое замыкание,перегрузка, двухфазное включение электротехнических устройств трехфазного тока,заклинивание ротора или других подвижных частей электрических машин и аппаратови др.);
снижения эффективности теплоотвода от нагреваемых электрическим токомдеталей и поверхностей электрических устройств(закрытие поверхностей горючими материалами с малым коэффициентом теплопроводности, отсутствие жидкости в водоналивных приборах,выключение вентилятора в электрокалориферах и теплоэлектровентиляторах,понижение уровня масла или другой диэлектрическойжидкости в маслонаполненных установках, снижениеуровня жидкости, используемой в качестве теплоносителя и др.);
увеличения переходного сопротивления (значение падения напряжения,выделяющейся мощности) в контактных соединениях или коммутационных элементах;
повышения коэффициента трения в движущихся (вращающихся) элементах(имитация отсутствия смазки, износ поверхностей ит.п.);
воздействия на детали электроустановок электрических луг (резкое перенапряжение, отсутствие дугогасительных решеток, выход из строя элементов,шунтирующих дугу, круговой огонь коллектора);
сбрасывания раскаленных (горящих) частиц,образующихся при аварийных режимах в электроустановках, на горючие элементы(частиц от оплавления никелевых электродов влампах накаливания, частиц металлов, образующихся при коротких замыканиях вэлектропроводках, и т.п.);
расположения горючих материалов в зоне радиационного нагрева,создаваемого электроустановками;
пропускания тока по конструкциям иэлементам, которые нормально не обтекаются током, но могут им обтекаться ваварийных условиях;
создания непредусмотренного условиями работы, но возможного в аварийном режиме нагрева за счетэлектромагнитных полей.
2. Расчет вероятностивозникновения пожара от электрического изделия
2.1. Вероятность возникновения пожара в (от) электрическихизделий и условия пожаробезопасности (п.1.3) записывают следующим выражением:
(151)
где Qп.р -вероятность возникновения характерного пожароопасного режима в составной частиизделия (возникновения K3. перегрузки, повышения переходного сопротивления и т.п.), 1/год;
Qп.з- вероятность того, что значение (характерного электротехническогопараметра (тока, переходного сопротивления и др.)лежит в диапазоне пожароопасных значений;
Qн.з -вероятность несрабатыванияаппарата защиты (электрической, тепловой и т.п.);
Qв- вероятность достижения горючим материалом критическойтемпературы или его воспламенения.
2.2. За положительный исход опыта в данном случае в зависимости от видаэлектрического изделия принимают: воспламенение, появление дыма, достижениекритического значения температуры при нагреве и т.п.
2.3. Вероятность возникновения характерного пожароопасного режима Qп.р, определяютстатистически по данным испытательных лабораторийпредприятий и изготовителей и эксплуатационныхслужб.
При наличии соответствующих справочных данных Qп.рможет быть определена через общую интенсивность отказов изделия с введениемкоэффициента, учитывающего долю пожароопасных отказов.
2.4. Вероятность (Qн.з) в общем видерассчитывается по формуле
(152)
где Р - вероятность загрубления защиты (устанавливаетсяобследованием или принимается как среднестатистическое значение, имеющее местона объектах, где преимущественно используется изделие);
lэ - эксплуатационная интенсивность отказоваппаратов защиты, 1/ч;
lр - рабочая (аппаратная) интенсивностьотказов защиты (определяется noтеории надежности технических систем), 1/ч;
lз- интенсивность отказов загрубленнойзащиты, 1/ч;
t -текущее время работы, ч.
Для аппаратов защиты, находящихся вэксплуатации более 1,5-2 лет, для расчета (Qн.з) может быть использовано упрощенноевыражение:
(153)
2.5. Характерный пожароопасный режим изделия определяетсязначением электротехнического параметра, при котором возможно появлениепризнаков его загорания. Например, характерныйпожароопасный режим - короткоезамыкание (КЗ); характерный электротехнический параметрэтого режима - значение тока КЗ. Зажигание изделиявозможно только в определенном диапазоне токов КЗ. В общемвиде:
(154)
где Nп, Nэ- соответственно диапазоны пожароопасных и возможных в эксплуатации значенийхарактерного электротехнического параметра.
В случае использования для оценкизажигательной способности электротехническихфакторов их энергетических характеристик -энергии, мощности, плотности теплового потока, температуры и т.п. определяетсявероятность того, как часто или как долго значение соответствующегоэнергетического параметра за определенный промежуток времени (например втечение года) будет превышать его минимальное пожароопасноезначение. Нахождение минимальных пожароопасныхзначений производитсяв ходе выполнения экспериментальных исследований при определении Qв.
2.6. Вероятность Qвположительного исхода опыта (воспламенения, появления дыма или достижениякритической температуры) определяется послепроведения лабораторных испытаний в условиях равенства Qп.р=Qн.з=Qп.з=1;
где m - число опытов с положительным исходам;
п - число опытов.
В случае m³0,76 (п-1), принимают Qв=l.
При использовании в качестве критерияположительного исхода опыта достижение горючим материаломкритической температуры Qвопределяется из формулы
где Qi - безразмерный параметр, значение которого выбирается по табличным данным,в зависимости от безразмерного параметра a в распределении Стьюдента.
(157)
где Тк - критическая температура нагрева горючего материала, К;
Тср- среднее арифметическое значение температур в испытаниях в наиболее нагретомместе изделия, К;
s- среднее квадратическое отклонение.
В качестве критической температуры, взависимости от вида изделия, условий его эксплуатации и возможных источниковзажигания может быть принята температура, составляющая в 80 % температурывоспламенения изоляционного (конструкционного)материала.
2.7. Допускается при определении Qв заменять создание характерного пожароопасногорежима на использование стандартизованного эквивалентного по тепловому воздействиюисточника зажигания, т.е.с эквивалентными параметрами,характеризующими воспламеняющуюспособность (мощность, площадь, периодичность и время воздействия).
1. Рассчитать вероятность возникновенияпожара и взрыва в отделении компрессии.
1.1. Данные для расчета
Отделение компрессии этилена расположено водноэтажном производственном здании размерами в плане20×12 м и высотой 10 м. Стены здания - кирпичные с ленточным остеклением. Перекрытие - из ребристых железобетонных плит.Освещение цеха - электрическое,отопление - центральное. Цех оборудован аварийной вентиляцией с кратностью воздухообмена (n), равной восьми.
В помещении цеха размещаетсякомпрессор, которыйповышает давление поступающего из магистрального трубопровода этилена с 11×105до 275×105Па. Диаметр трубопроводовс этиленом равен 150 мм, температура этиленадостигает 130 оC. Зданиеимеет молниезащиту типаБ.
Нижний концентрационный предел воспламененияэтилена (Сн.к.п.вв смеси с воздухом равен 2,75 %, поэтому, в соответствиис СНиП II-90-81: производство по взрывной, взрывопожарной и пожарной опасностиотносится к категории А, то есть в цехе возможновозникновение как пожара, так и взрыва. Поусловиям технологического процесса возникновениевзрывоопасной концентрации в объеме помещения возможно только в аварийных условиях,поэтому помещение по классификации взрывоопасных зон относится к классу В-1а.
Пожарная опасность отделения компрессии складывается из пожарной опасности компрессорной установки и пожарной опасностипомещения. Пожарная опасность компрессора обусловлена опасностью возникновения взрыва этиленовоздушной смесивнутри аппарата.
Пожарная опасность помещения обусловленаопасностью возникновения пожара в цехе, а также опасностьювозникновения взрыва этиленовоздушной смесив объеме цеха при выходе этилена из газовых коммуникаций при аварии.
Возникновение взрывав компрессоре обусловлено одновременным появлением в цилиндре горючего газа, окислителя и источниказажигания.
По условиям технологического процесса в цилиндре компрессорапостоянно обращается этилен, поэтому вероятностьпоявления в компрессорегорючего газа равна единице
![]()
Появление окислителя (воздуха) в цилиндре компрессора возможно при заклинивании всасывающего клапана. В этом случае в цилиндресоздается разряжение, обуславливающее подсосвоздуха через сальниковые уплотнения. Дляотключения компрессора при заклиниваниивсасывающего клапана имеется система контролядавления, которая отключает компрессор через 10 с послезаклинивания клапана. Обследование показало, что за год наблюдалось 10 случаев заклинивания клапанов.Тогда вероятность разгерметизации компрессора равна
![]()
Анализируемый компрессор в течение годанаходился в рабочем состоянии 4000 ч, поэтомувероятность его нахождения под разряжением равна
![]()
Откуда вероятность подсоса воздуха в компрессорсоставит значение
![]()
Таким образом, вероятность появления в цилиндре компрессора достаточного количества окислителя всоответствии с формулой (44) приложения 3 равна
![]()
Откуда вероятность образования горючей среды в цилиндре компрессора в соответствии с формулой (40) приложения 3а будет равна
![]()
Источником зажиганияэтиленовоздушной смеси в цилиндре компрессора могут быть толькоискры механического происхождения,возникающие приразрушении узлов и деталей поршневой группы из-за потери прочности материала илипри ослаблении болтовых соединений.
Статистические данные показывают, что за анализируемыйпериод времени наблюдалсяодин случай разрушения деталей поршневой группы, врезультате чего в цилиндре компрессора в течение 2мин наблюдалось искрение. Поэтому вероятностьпоявления в цилиндрекомпрессора фрикционных искр в соответствии с формулами (42 и 47) приложения 3 равна
![]()
Оценим энергию искр, возникающих при разрушении деталейпоршневой группы компрессора. Зная, что скорость движения этих деталейсоставляет 20 м×c-1, а их масса равна 10 кг и более, найдем энергию соударения (Е), Дж, по формуле
![]()
Известно, что фрикционные искры твердыхсталей при энергиях соударения порядка 1000 Джподжигают метановоздушные смеси с минимальной энергией зажигания 0,28 мДж.
Минимальная энергия зажигания этиленовоздушной смеси равна 0,12 мДж, аэнергия соударения тел значительно превышает 1000Дж, следовательно:
![]()
Тогда вероятность появления в цилиндре компрессораисточника зажигания в соответствии с формулой (46) приложения 3 равна
![]()
Таким образом, вероятность взрыва этиленовоздушной смеси внутри компрессора будетравна
![]()
Наблюдение запроизводством показало, что трижды за год (m-3) отмечалась разгерметизация коммуникаций с этиленом и газвыходил в объем помещения. Рассчитаем время образования взрывоопасной концентрации в локальном облаке, занимающем 5 % объема цеха.
Режим истечения этилена из трубопровода при разгерметизациифланцевых соединений вычисляют из выражения
![]()
где Ратм- атмосферноедавление, Па;
Pраб- рабочее давление в трубопроводах с этиленом, Па;
vкр - критическое отношение.
То есть истечение происходит со звуковой скоростью w, равной
![]()
Площадь щели F при разгерметизациифланцевого соединениятрубопровода диаметром 150 мм и толщиной щели 0,5мм равна
![]()
Расход этилена - g черезтакое отверстие будет равен
![]()
Тогда время образования локального взрывоопасного облака, занимающего 5 % объема цеха при работевентиляции, будет равно

Учитывая, что из всеймассы этилена, вышедшего в объем помещения, только70 % участвуют в образовании локального взрывоопасного облака, времяобразования этого облака и время его существования после устраненияутечки этилена будетравно:
.
Время истечения этилена при имевших местоавариях за анализируемый период времени было равно4,5, 5 и 5,5 мин. Тогда общее время существования взрывоопасного облака,занимающего 5 % объема помещения и представляющего опасность при взрыве для целостностистроительных конструкций и жизни людей с учетомработы аварийной вентиляции будет равно
![]()
Откуда вероятность появления в объеме помещения, достаточного для образования горючей смесиколичества этилена, равна
![]()
Учитывая, что в объеме помещения постоянно имеется окислитель, получим
![]()
Тогда вероятность образования горючей смеси этилена с воздухом в объемепомещения будет равна
![]()
Основными источниками зажигания взрывоопасного этиленовоздушногооблака в помещении могут быть электроприборы (в случаеих несоответствия категориии группе взрывоопасной среды), открытый огонь (при проведении огневых работ), искры от удара (при различных ремонтных работах) иразряд атмосферного электричества.
Пожарно-техническим обследованием отделения компрессии установлено, что пять электросветильников маркиВЗГ в разное время втечение 120, 100, 80,126 и 135 ч эксплуатировались с нарушением щелевой защиты.
Вероятность нахождения электросветильников в неисправномсостоянии равна
![]()
Так как температура колбы электролампочкимощностью 150 Вт равна 350 °С, а температурасамовоспламенения этилена 540 °С, следовательно, нагретая колба не может быть источником зажигания этиленовоздушнойсмеси.
Установлено, что за анализируемый периодвремени в помещении 6 раз проводилисьгазосварочные работы по 6, 8, 10, 4, 3 и 5 чкаждая. Поэтому вероятность появления в помещении открытого огня будет равна
![]()
Так как температура пламени газовой горелки и время ее действиязначительно превышают температуру воспламенения и время, необходимое для зажигания этиленовоздушнойсмеси, получаем, что
![]()
Ремонтные работы с применением искроопасного инструмента в помещении за анализируемый период времени не проводились.
Вычисляем вероятность появления в помещении разряда атмосферногоэлектричества.
Помещение расположено в местности с пpoдoлжитeлънocтью грозовой деятельности 50 с×год-1,поэтому п=6км-2×год-1.Отсюда, в соответствии с формулой (5)приложения 3 число ударов молнии в здание равно
![]()
Тогда вероятность прямогоудара молнии будет равна
![]()
Вычисляем вероятностьотказа исправной молниезащитытипа Б здания компрессорной по формуле(52) приложения 3
![]()
Таким образом, вероятность поражения здания молнией равна
![]()
Пожарно-техническим обследованиемустановлено, что защитное заземление, имеющееся в здании, находится в исправномсостоянии, поэтому
![]()
Тогда
![]()
Учитывая параметры молнии получим
![]()
Откуда
![]()
![]()
Таким образом, вероятность взрыва этиленовоздушнойсмеси в объеме помещения будет равна:
![]()
Рассчитаем вероятность возникновения пожарав помещении компрессорной. Наблюдение за объектом позволило установить,что примерно 255 ч×год-1в помещении компрессорной, в нарушение правил пожарной безопасности, хранились разнообразныегорючие материалы (ветошь, деревянные конструкции, древесные отходы и т.п.), непредусмотренные технологическим регламентом. Поэтому вероятностьпоявления в помещении горючих веществ равна
![]()
Откуда вероятность образования в цехепожароопасной среды равна
![]()
Из зафиксированных тепловых источников,которые могут появиться в цехе, источником зажигания для твердых горючих веществ являетсятолько открытый огонь и разряды атмосферного электричества. Поэтому вероятностьвозникновения в отделениикомпрессии пожара равна
![]()
Таким образом, вероятность того, что в отделении компрессии произойдет взрыв либо в самом компрессоре, либо в объемецеха составит значение
![]()
.
Вероятность того, что в компрессорнойвозникнет пожар или взрыв, равна:
1.3. Заключение
Вероятность возникновения в компрессорнойвзрыва равна 2,7×10-7в год, что соответствует одному взрыву в год в3703704 аналогичных зданиях, а вероятность возникновения в нем или взрыва, илипожара равна 1,9×10-4в год, т.е. один пожар или взрыв в год в 5263 аналогичных помещениях.
2. Рассчитать вероятностьвозникновения пожара в резервуаре РВС 20000 НПС «торголи»
В качестве пожароопасногообъекта взят резервуар с нефтью объемом 20000м3. Расчетведется для нормальной эксплуатации технически исправного резервуара.
Средняя рабочая температура нефти Т=311 К. Нижний и верхний температурныепределы воспламенения нефти равны: Тн.п.в=249К, Тв.п.в=265 К. Количествооборотов резервуара в год Поб=24 год-1.Время существования горючей среды в резервуаре приоткачке за одиноборот резервуара tотк=10 ч (исключая длительный простой). Радиус резервуара РВС=2000 R=22,81 м. Высота резервуара Hр==11,9 м. Числоударов молний п=6км-2×год-1. На резервуареимеется молниезащита типа Б, поэтому bб=0,95.
Число искроопасных операцийпри ручном измеренииуровня Nз.у=1100 год-1.Вероятность штиля (скорость ветра и£1 м×с-1),Qш(u£1)=0,12. Числовключений электрозадвижек Nэ.з=40×год-1. Число искроопасных опера ций при проведении техобслуживания резервуара NТ.О=24 год-1. Нижний и верхнийконцентрационные пределы воспламенения нефтяных паров Си.к.п.в=0,02 % (по объему), Си.к.п.в=0,1% (по объему). Производительность, операции наполнения g=0,56 м3×c-1. Рабочая концентрация паров врезервуаре С=0,4 % (по объему).Продолжительность выброса богатой смеси Тбог==5ч.
2.2. Расчет
Так как на нефтепроводах средняя рабочая температура жидкости (нефти)
выше среднемесячной температуры воздуха, то за расчетнуютемпературу поверхностного слоя нефти принимаем
.
Из условия задачи видно, что
>Tв.к.п.в,поэтому при неподвижном уровне нефти вероятность образования горючей cмесивнутри резервуара равна нулю QВН (ГС)=0, а при откачке нефти равна
![]()
.
Таким образом вероятность образования горючей среды внутри резервуара в течениегода будет равна
.
Вычислим число попадании молнии в резервуар то формуле (51) приложения 3
.
Тогда вероятность прямого удара молнии в резервуар в течение года, вычисленнаяпо формуле (49) приложения 3, равна
.
Вычислим вероятность отказа молниезащиты в течение года при исправностимолниеотвода по формуле (52) приложения3.
![]()
Таким образом, вероятность поражения молнией резервуара, в соответствии сформулой (48) приложения 3, равна
![]()
Обследованием установлено, что имеющееся на резервуаре защитноезаземление находится в исправном состоянии, поэтому вероятность вторичноговоздействия молнии на резервуар и заноса в него высокого потенциала равна нулю ![]()
Появление фрикционных искр в резервуаре возможно только при проведенииискроопасных ручных операций при измерении уровня и отборе проб. Поэтомувероятность Qр(ТИ3)в соответствии с формулами (49 и 55) приложения 3 равна
![]()
![]()
В этой формуле Q(ОП) = 1,52×10-3 - вероятность ошибки оператора,выполняющего операции измерения уровня.
Таким образом, вероятность появления в резервуаре какого-либо тепловогоисточника в соответствии с приложением3 равна
![]()
Полагая, что энергия и время существования этих источников достаточны длявоспламенения горючей среды, т.е. Qр(B) = 1 из приложения3 получим Qр (ИЗ/ГС) = 5,4×10-3.
Тогда вероятность возникновения пожара внутри резервуара в соответствии сформулой (38) приложения 3, равна
![]()
Из условия задачи следует, что рабочая концентрация паров в резервуаревыше верхнего концентрационного предела воспламенения, т.е. в резервуаре принеподвижном слое нефти находится негорючая среда. При наполнении резервуаранефтью в его окрестности образуется горючая среда, вероятность выброса которойможно вычислить по формуле (42)приложения 3
![]()
Во время тихой погоды (скорость ветра меньше 1 м×с-1)около резервуара образуется взрывоопасная зона, вероятность появления которойравна
![]()
Диаметр этой взрывоопасной зоны равен

Определим число ударов молнии во взрывоопасную зону
![]()
Тогда вероятность прямого удара молнии в данную зону равна
![]()
Так как вероятность отказа молниезащиты Qр(t1) = 5×10-2,то вероятность поражения молнией взрывоопасной зоны равна
![]()
Откуда Qв.з(ТИ1)=7×10-3.
Вероятность появления около резервуара фрикционных искр равна
![]()
Нарядус фрикционными искрами в окрестностях резервуара возможно появлениеэлектрических искр замыкания и размыкания контактов электрозадвижек. Учитываясоответствие пополнения электрозадвижек категории и группе взрывоопасной смеси,вероятность появления электрических искр вычислим по формулам (49 и 54)приложения 3.
![]()
Таким образом, вероятность появления около резервуара какого-либотеплового источника в соответствии с приложением 3 составит значение
![]()
![]()
Полагая, что энергия и время существования этих источников достаточны длязажигания горючей среды, из формулы (49)приложения 3 получим при Qв=1
![]()
Тогда вероятность возникновения взрыва в окрестностях резервуара в соответствии с формулой (39) приложения 3 равна
![]()
Откуда вероятность возникновения в зоне резервуара либо пожара, либовзрыва составит значение
![]()
2.3. Заключение
Вероятность возникновения в зоне резервуара пожара или взрыва составляет2,0×10-4, чтосоответствует одному пожару или взрыву в год в массиве из 3448 резервуаров,работающих в условиях, аналогичных расчетному.
3. Определить вероятность воздействия ОФП налюдей при пожаре в проектируемой 15-этажной гостинице при различных вариантахсистемы противопожарной защиты.
3.1. Данные для расчета
В здании предполагается устройство вентиляционной системы противодымнойзащиты (ПДЗ) с вероятностью эффективного срабатывания R1=0,95и системы оповещения людей о пожаре (ОЛП) с вероятностью эффективногосрабатывания R2=0,95.Продолжительность пребывания отдельного человека в объекте в среднем 18 ч×сут-1независимо от времени года. Статистическая вероятность возникновения пожара ваналогичных объектах в год равна 4×10-4. В качестве расчетной ситуациипринимаем случай возникновения пожара на первом этаже. Этаж зданиярассматриваем как одно помещение. Ширина поэтажного коридора 1,5 м, расстояниеот наиболее удаленного помещения этажа до выхода в лестничную клетку 40 м,через один выход эвакуируются 50 человек, ширина выхода 1,21 м. Нормативнуювероятность Qнв принимаемравной 1×10-6,вероятность Рдв, равной 1×10-3.
3.2. Расчет
Оценку уровня безопасности определяем для людей, находящихся на 15-мэтаже гостиницы (наиболее удаленном от выхода в безопасную зону) при наличиисистем ПДЗ и ОЛП. Так как здание оборудовано вентиляционной системой ПДЗ, еголестничные клетки считаем незадымляемыми. Вероятность Qввычисляем по формуле (33) приложения 2
.
Учитывая, что отдельный человек находится в гостинице 18 ч, товероятность его присутствия в здании при пожаре принимаем равной отношению
. С учетом этого окончательно значение будет равно 0,75×10-6, что меньше Qнв.Условие формулы (2) приложения 2выполняется, поэтому безопасность людей в здании на случай возникновения пожараобеспечена. Рассмотрим вариант компоновки противопожарной защиты без системыоповещения. При этом время блокирования эвакуационных путей tблна этаже пожара принимаем равным 1 мин в соответствии с требованиямистроительных норм и правил проектирования зданий и сооружений. Расчетное времяэвакуации tр, определенное всоответствии с теми же нормами, равно 0,47 мин. Время начала эвакуации tн.э,принимаем равным 2 мин. Вероятность эвакуации Pэ.пдля этажа пожара вычисляем по формуле (5)приложения 2.
.
Вероятность Qв вычисляем по формуле(3) приложения 2.
![]()
Поскольку Qв>Qнв, тоусловие безопасности для людей по формуле (2)приложения 2 на этаже пожара не отвечает требуемому, - и, следовательно, врассматриваемом объекте не выполняется при отсутствии системы оповещения.
4. Определить категорию и класс взрывоопасной зоны помещения, в которомразмещается технологический процесс с использованиемацетона.
4.1. Данные для расчета
Ацетон находится в аппарате с максимальным объемом заполнения Vаи, равным 0,07 м3, и в центрепомещения над уровнем пола. Длина L1 напорного иобводящего трубопроводов диаметром d 0,05. м равнасоответственно 3 и 10 м. Производительность q насоса 0,01 м×мин-1.Отключение насоса автоматическое. Объем Vлпомещения составляет 10000 м3 (48×24×8,7). Основныестроительные конструкции здания железобетонные, и предельно допустимый приростдавления
для них составляет 25кПа. Кратность А аварийной вентиляцииравна 10 ч-1.
Скорость воздушного потока и в помещении при работе аварийной вентиляцииравна 1,0 м×с-1.Температура ацетона равна температуре воздуха исоставляет 293 К. Плотность r ацетона 792 кг×м-3.
4.2. Расчет
Объем ацетона м3, вышедшего из трубопроводов, составляет
![]()
где t -время автоматического отключения насоса, равное 2 мин.
Объем поступившего ацетона, м3, в помещение
.
Площадь разлива ацетона принимаем равной 116 м2.
Скорость испарения (Wисп), кг×с-1×м,равна
![]()
Масса паров ацетона (Мп),кг, образующихся при аварийном разливе равна
![]()
Следовательно, принимаем, что весь разлившийся ацетон, кг, за времяаварийной ситуации, равное 3600 с, испарится вобъем помещения, т.е.
![]()
Стехиометрическая концентрация паров ацетона при b=4 равна
![]()
Концентрация насыщенных паров получается равной
![]()
Отношение Сн/(1,9×Сст)>1,следовательно, принимаем Z=0,3.
Свободный объем помещения, м3
![]()
Время испарения, ч, составит
.
Коэффициент получается равным
![]()
Максимально возможная масса ацетона, кг
![]()
Поскольку mп(91,9 кг)<mmax(249,8 кг), то помещение в целом относится к невзрывопожароопасным.
Расстояния Xн.к.п.в,Yн.к.п.в и Zн.к.п.всоставляют при уровне значимости Q=5×10-2


где
![]()
4.3. Заключение
Таким образом, взрывобезопасные расстояния составляют соответственно Rб>7,85 м и Zб>3 м.
Взрывоопасная зона с размерами Rб£7,85 м и Zб£3м относится к классу В-1а. Схематически взрывоопасная зона изображена на черт.9.

1 - помещение; 2 - аппарат;3 - взрывоопасная зона
Черт. 9
5. Определить категорию производства, в котором находится участок обработки зерна и циклон дляопределения зерновой пыли в системе вентиляции.
5.1. Данные для расчета
Масса зерновой пыли, скапливающейся в циклоне mа,составляет 20000 г. Производительность циклона q по пыли составляет 100 г×мин-1.Время tавтоматического отключения циклона не более 2 мин. Свободный объем помещения Vсв, равен 10000 м3. Остальные исходныеданные: mx=500 г; b1=1;п=14; Kу=0,6; Кл=1;Кв.з=1; Q=16700 кДж×кг-1; То=300 К; Ср=1,0 кДж×кг-1; То=300 К; Cр=1,0 кДж×кг-1; rв=1,29кг×м-3;Рдоп=25 кПа; Ро=101 кПа; Z=1,0.
5.2. Расчет
Масса отложившейся пыли к моменту очередной уборки г, составит

Расчетная масса пыли, г, участвующей в образовании взрывоопасной смеси,равна
![]()
Максимально возможную массу горючей пыли, кг,вычисляем по формуле
![]()
5.3. Заключение
Значение mр не превышает mmax,следовательно, помещение не относится квзрывопожароопасным.
6. Рассчитать вероятность возникновения пожара от емкостногопускорегулирующего аппарата (ПРА) для люминесцентных ламп на W=40 Вт и U=220 В.
6.1. Данные для расчета приведены в табл. 13.
В результате испытаний получено:
Таблица 13
| Температура оболочки в наиболее нагретом месте при работе в аномальных режимах, К | |||
| Параметр | Длительный пусковой режим | Режим с короткозамкнутым конденсатором | Длительный пусковой режим с короткозамкнутым конденсатором |
| Т | 375 | 380 | 430 |
| s | 6,80 | 5,16 | 7,38 |
6.2. Расчет
Расчет возникновения пожара от ПРА ведем по приложению 5, ПРА является составной частью изделия сналичием вокруг него горючего материала (компаунд, клеммная колодка);произведение вероятностей Q(ПР)хQ(НЗ) обозначим через Q(аi);тогда из приложения 5 можнозаписать
![]()
где Qа -нормативная вероятность возникновения пожара при воспламенении аппарата, равная 10-6;
Q(B) -вероятность воспламенения аппарата или выброса изнего пламени при температуре поверхности ПРА (в наиболее нагретом месте),равной или превышающей критическую;
Q(аi) - вероятность работыаппарата в i-м (пожароопасном) режиме;
Qi(Ti) - вероятностьдостижения поверхностью аппарата (в наиболее нагретом месте) критической(пожароопасной) температуры, которая равна температуре воспламенения(самовоспламенения) изоляционного материала;
k - число пожароопасных аномальныхрежимов работы, характерное для конкретного исполнения ПРА.
Для оценки пожарной опасности проводим испытание на десяти образцах ПРА.За температуру в наиболее нагретом месте принимаем среднее арифметическоезначение температур в испытаниях

Дополнительно определяет среднее квадратическое отклонение

Вероятность (Q(Ti)) вычисляем по формуле (156) приложения 5
![]()
где Qi- безразмерный параметр, значение которого выбирается по табличным данным, взависимости от безразмерного параметра ai, в распределении Стьюдента.
Вычисляем (ai) по формуле
![]()
где Tк - критическая температура.
Значение (Тк)применительно для ПРА вычисляем по формуле

где Tдj, Tвj - температура ; j-го аппарата (в наиболее нагретом месте), соответственно,при появлении первого дыма и при «выходе» аппарата из строя (прекращении тока вцепи).
Значение Q(B)вычисляем по формуле (155) приложения 5при п=10.
Значение критической температуры (Tк) составило442,1 К, при этом из десяти испытуемых аппаратов у двух был зафиксирован выброспламени (m=1 Q(B)=0,36).
Результаты расчета указаны в табл. 14.
Таблица 14
| Параметр | Длительный пусковой режим (i=1) | Режим с короткозамкнутым конденсатором (i=2) | Длительный пусковой режим с короткозамкнутым конденсатором (i=3) |
|
| 0,06 | 0,1 | 0,006 |
|
| 30,9 | 37,8 | 4,967 |
|
| 1 | 1 | 0,99967 |
|
| 0 | 0 | 0,00033 |
6.3. Заключение
Таким образом, расчетная вероятность возникновения пожара от ПРА равна Qп=1 (0,06×0+0,1×0+0,006×0,00033)×0,36=7,1×10-7,что меньше 1×10-6,.т.е. ПРА пожаробезопасен.
Требования предназначаются для всех предприятий, организаций и объектовнезависимо от их ведомственной подчиненности,имеющих склады или базы для хранения веществ и материалов.
Требования не распространяются на взрывчатые и радиоактивные вещества иматериалы, которые должны храниться и перевозиться по специальным правилам.
Ведомственные документы, регламентирующие пожарную безопасность прихранении веществ и материалов, должны быть приведены в соответствии снастоящими Требованиями.
1. ОБЩИЕ ПОЛОЖЕНИЯ
1.1. Возможность совместного хранения веществ и материалов определяетсяна основании количественного учета показателей пожарной опасности, токсичности,химической активности, а также однородности средств пожаротушения.
1.2. В зависимости от сочетания свойств, перечисленных в п. 1.1, веществаи материалы могут быть совместимыми или несовместимыми друг с другом прихранении.
1.3. Несовместимыми называются такие вещества и материалы, которые прихранении совместно (без учета защитных свойствтары или упаковки);
увеличивают пожарную опасность каждого из рассматриваемых материалов ивеществ в отдельности;
вызывают дополнительные трудности при тушении пожара;
усугубляют экологическую обстановку при пожаре (по сравнению с пожаром отдельных веществ и материалов, взятых в соответствующемколичестве);
вступают в реакцию взаимодействия друг с другом с образованием опасныхвеществ.
1.4. По потенциальной опасности вызывать пожар, усиливать опасные факторыпожара, отравлять среду обитания (воздух, воду, почву, флору, фауну и т.д.),воздействовать на человека через кожу, слизистые оболочки дыхательных путейпутем непосредственного контакта или на расстоянии как при нормальных условиях,так и при пожаре, вещества и материалы делятся на разряды:
безопасные;
малоопасные;
опасные;
особоопасные.
В зависимостиот разряда вещества и материала назначаются условия его хранения (см. п.1.5-1.9).
1.5. К безопасным относят негорючие вещества иматериалы в негорючей упаковке, которые в условиях пожара не выделяют опасных(горючих, ядовитых, едких) продуктов разложения или окисления, не образуютвзрывчатых или пожароопасных, ядовитых, едких, экзотермических смесей с другимивеществами.
Безопасные вещества и материалы следует хранить в помещениях или наплощадках любого типа (если это не противоречит техническим условиям навещество).
1.6. К малоопасным относят такие горючие итрудногорючие вещества и материалы, которые не относятся к безопасным (п. 1.5)и на которые не распространяются требования ГОСТ 19433.
Малоопасные вещества разделяют на следующие группы:
а) жидкие вещества с температурой вспышки более 90 °С;
б) твердые вещества и материалы, воспламеняющиеся от действия газовойгорелки в течение 120 с и более;
в) вещества и материалы, которые в условиях специальных испытанийспособны самонагреваться до температуры ниже 150 °С за время более 24 ч притемпературе окружающей среды 140 °С;
г) вещества и материалы, которые при взаимодействии с водой выделяювоспламеняющиеся газы с интенсивностью менее 0,5 дм3 кг-1×ч-1;
д) вещества и материалы ядовитые со среднесмертельной дозой при введениив желудок более 500 мг×кг-1 (если они жидкие) или более 2000мг×м-1(если они твердые) или со среднесмертельной дозой при нанесении на кожу более2500 мг×кг-1или со среднесмертельной дозой при вдыхании более 20 мг×дм-3;
е) вещества и материалы слабые едкие и (или) коррозионные со следующимипоказателями: время контакта, в течение которого возникает видимый некрозкожной ткани животных (белых крыс) более 24 ч,скорость коррозии стальной (Ст3) и алюминиевой (А6) поверхности менее 1 мм вгод.
1.7. К малоопасным относятся также негорючие вещества и материалы по п. 1.6 в горючей упаковке.
Малоопасные вещества и материалы допускается хранить в помещениях всехстепеней огнестойкости (кроме V степени).
1.8. К опасным относятся горючие и негорючие вещества и материалы,обладающие свойствами, проявление которых может привести к взрыву, пожару,гибели, травмированию, отравлению, облучению, заболеванию людей и животных,повреждению сооружений, транспортных средств. Опасные свойства могутпроявляться как при нормальных условиях, так и приаварийных, как у веществ в чистом виде, так и привзаимодействии их с веществами и материалами других категорий по ГОСТ 19433.
Опасные вещества и материалы необходимо хранить в складах I и II степени огнестойкости.
1.9. К особоопасным относятся такие опасные (см. п. 1.8) вещества иматериалы, которые несовместимы с веществами и материалами одной с нимикатегории по ГОСТ 19433.
Особоопасные вещества и материалы необходимо хранить в складах I и IIстепени огнестойкости преимущественно в отдельно стоящих зданиях.
2. УСЛОВИЯ СОВМЕСТНОГО ХРАНЕНИЯ ВЕЩЕСТВ ИМАТЕРИАЛОВ
2.1. Вещества и материалы, относящиеся к разряду особоопасных, прихранении необходимо располагать так, как указано в табл. 15.
2.2. Вещества и материалы, относящиеся к разряду опасных, при хранениинеобходимо располагать так, как указано в табл.16.
2.3. В порядке исключения допускается хранение особоопасных и опасныхвеществ и материалов в одном складе. При этом их необходимо располагать так,как указано в табл. 17.
2.4. В одном помещении склада запрещается хранить вещества и материалы,имеющие неоднородные средства пожаротушения.
Настоящий метод предназначен для определения безопасной площадиразгерметизации (такая площадь сбросного сечения предохранительного устройства,вскрытие которой в процессе сгорания смеси внутри оборудования, например,аппарата, позволяет сохранить последний от разрушения или деформации)технологического оборудования, в котором обращаются, перерабатываются или получаютсягорючие газы, жидкости, способные создавать с воздухом или друг с другомвзрывоопасные смеси, сгорающие ламинарно или турбулентно во фронтальном режиме.Разгерметизация - наиболее распространенный способ пожаровзрывозащитытехнологического оборудования, заключающийся в оснащении его предохранительнымимембранами и (или) другими разгерметизирующими устройствами с такой площадьюсбросного сечения, которая достаточна для того, чтобы предотвратить разрушениеоборудования от взрыва и исключить последующее поступление всей массы горючеговещества в окружающее пространство, т.е. вторичный пожар.
Метод не распространяется на системы, склонные к детонации или объемномусамовоспламенению.
1. СУЩНОСТЬ МЕТОДА
Безопасную площадь разгерметизации определяют по расчетным формулам наоснове данных о параметрах технологического оборудования, условиях веденияпроцесса и показателях пожаровзрывоопасности веществ.
Метод устанавливает зависимость безопасной площади разгерметизации отобъема и максимально допустимого давления внутри него, давления и температурытехнологической среды, термодинамических и термокинетических параметров горючейсмеси, условий истечения, степени турбулизации.
2. ФОРМУЛЫ ДЛЯ РАСЧЕТА БЕЗОПАСНОЙ ПЛОЩАДИРАЗГЕРМЕТИЗАЦИИ
2.1. Безопасную площадь разгерметизации технологического оборудования сгазопаровыми смесями определяют по следующим безразмернымкритериальным соотношениям:
дляоборудования, рассчитанного на максимальное относительноедавление взрыва
(при одновременномвыполнении условия
в знаменателе формулы (158) сомножитель
отсутствует), и
для оборудования, выдерживающего давление взрыва в диапазоне относительных значений
.
В формулах(158) и(159) приняты следующие обозначения (индексы i, u, e, m относятся соответственно кначальным параметрам, параметрам горючей смеси,характеристикам горения в замкнутом сосуде, максимальным допустимым значениям).Комплекс подобия
т.е.представляет собой с точностью до постоянного множителя произведение двух отношений - эффективной площадиразгерметизации к внутренней поверхности сферического сосуда равного объема искорости звука в исходной смеси к начальной нормальной скорости пламени. Ввыражении для комплекса подобия W (160):
- коэффициентрасхода при истечении свежей смеси и (или) продуктов сгорания через устройствовзрыворазрежения (предохранительная мембрана, клапан, разгерметизатор и т.п.);
F - площадь разгерметизации(сбросного сечения), м2;
V - максимальный внутреннийобъем сосуда, в котором возможно образование горючей газопаровой смеси, м3;
R = 8314 Дж×кмоль-1K-1 -универсальная газовая постоянная;
Tui - температура горючей смеси. К;
Мi - .молекулярная массагорючей смеси, кг×кмоль-1;
Sui- нормальная скорость распространения пламени при начальных значенияхдавления и температуры горючей смеси, м×с-1.
Другие обозначения в формулах (158)и (159):
- относительноемаксимально допустимое давление в аппарате, которое не приводит к егодеформации и (или) разрушению;
Pm- абсолютное максимально допустимое давление внутри аппарата, которое неприводит к его деформации и (или) разрушению, Па;
Pi- абсолютное начальное давление горючей смеси в аппарате, при которомпроисходит инициирование горения, Па;
Р'- абсолютное давление в пространстве, в котором происходит истечение, в моментдостижения максимального давления взрыва внутри аппарата (атмосфера, буфернаяемкость и т.п.), Па;
- относительноемаксимальное давление взрыва данной горючей смеси в замкнутом сосуде;
Ре - абсолютноемаксимальное давление взрыва данной горючей смеси в замкнутом сосуде приначальном давлении смеси Рi, Па;
Ei - коэффициент расширения продуктов сгорания смеси приначальных значениях давления и температуры;
- фактортурбулизации, представляющий собой в соответствии с принципом Гуи-Михельсонаотношение действительной поверхности фронта пламени в аппарате к поверхностисферы, в которую можно собрать продукты сгорания, находящиеся в данный моментвремени внутри сосуда.
2.2. Формулы (158) и (159) могут быть использованы как дляопределения безопасной площади разгерметизации при проектировании оборудованияпо максимально допустимому относительному давлению взрыва в аппарате pm (прямая задача),так и для определения максимально допустимого начального давления горючей смесиРi в аппарате, рассчитанном намаксимальное давление Рm, с уже имеющимсясбросным люком площадью F, напримерпри анализе аварий (обратная задача).
2.3. Формулы (158) и (159) охватывают весь диапазон возможныхдавлений взрыва в оборудовании с различной степенью негерметичности
.
2.4. Формулы (158) и (159) записаны в безразмерных независимыхпеременных, вытекающих из условия автомодельности процесса развития взрыва внегерметичном сосуде, что делает их более универсальными и наглядными.Максимальное давление взрыва в негерметичном сосуде является инвариантомрешения системы уравнений динамики развития взрыва при постоянном отношениифактора турбулизации c к комплексу подобия W.
Погрешность определения диаметра сбросного сечения по инженерным формулам(158), (159) в сравнении с точным компьютерным решениемсистемы дифференциальных уравнений динамики развития взрыва составляет около 10%.
3. СТЕПЕНЬ ВЛИЯНИЯ РАЗЛИЧНЫХ ПАРАМЕТРОВ НАБЕЗОПАСНУЮ ПЛОЩАДЬ РАЗГЕРМЕТИЗАЦИИ
3.1. В настоящем методе реализован единый подход красчету площади сбросного сечения, заключающийся в учете влияния различныхпараметров и условий на величину безопасной площади разгерметизации посредствомсоответствующего изменения значения фактора турбулизации.
3.2. Фактор турбулизации - основной параметр, оказывающий определяющеевлияние на величину безопасной площади разгерметизации,
Погрешность определения термодинамических параметров - Еi, pe,
, где
- показатель адиабатыпродуктов сгорания смеси, входящих в расчетные формулы (158) и (159),составляет проценты, погрешность определения коэффициента расхода m, молекулярной массы горючей смеси и нормальнойскорости распространения пламени составляетдесятки процентов. Ошибка в выборе значений объемааппарата, температуры и давления смеси также не превышает процентов илидесятков процентов. Погрешность же в определении значения фактора турбулизацииможет составлять сотни процентов.
3.3. Расчет безопасной площади разгерметизации проводят для наиболеевзрывоопасных (околостехиометрических) смесей, если не доказана невозможностьих образования внутри аппарата.
4. ЗАВИСИМОСТЬ ФАКТОРА ТУРБУЛИЗАЦИИ ОТУСЛОВИЙ РАЗВИТИЯ ВЗРЫВА
4.1. Зависимость фактора турбулизации от условий развития горения можетбыть представлена формулой
(161)
в которойэмпирические коэффициенты a1, a2, a3,a4 определяют по табл. 15.
Таблица 15
Эмпирические коэффициенты для расчетафактора турбулизации*
| Условия развития горения** | эмпирические коэффициенты | |||
| a1 | a2 | a3 | a4 | |
| Объем сосуда V до 10 м3; степень негерметичности F/V2/3 до 0,25 | 0,15 | 4 | 1 | 0 |
| Объем сосуда V до 200 м3, |
|
|
|
|
| начально открытые сбросные сечения | 0 | 0 | 2 | 0 |
| начально закрытые сбросные сечения | 0 | 0 | 8 | 0 |
| Объем сосуда V до 200м3, |
|
|
|
|
| начально открытые сбросные сечения | 0 | 0 | 0,8 | 1,2 |
| начально закрытые сбросные сечения | 0 | 0 | 2 | 6 |
| Объем сосуда V до 10 м3; степень негерметичности F/V2/3 до 0,04; наличие сбросного трубопровода, |
|
|
|
|
| без орошения истекающих газов | 0 | 0 | 4 | 0 |
| с орошением истекающих газов | 0,15 | 4 | 1 | 0 |
_______________
* Дляотсутствующих в таблице условий развития горения, например для оборудованияобъемом более 200 м3, значение фактора турбулизации определяют экспортно.
** Если вусловиях развития горения значение какого-либо параметра не оговорено, то ономожет быть любым в допустимом диапазоне.
4.2. Влияние объемааппарата
Для полых аппаратов объемом менее 1 м3 значение факторатурбулизации c =1¸2.
С ростом объема аппарата значение фактора турбулизации увеличивается идля полых аппаратов объемом около 10 м3c=2,5¸5в зависимости от степени негерметичности(отношение F/V2/3)аппарата.
Для сосудов объемом до 200 м3 различной формы снезначительными встроенными внутрь элементами значение фактора турбулизации непревышает c=8.
4.3. Влияние формы аппарата
Для технологического оборудования с отношением длины к диаметру до 5:1 можно считать, что форма аппарата невлияет на значение фактора турбулизации, так как увеличение поверхности пламенииз-за его вытягивания по форме аппарата компенсируется уменьшением поверхностив результате более раннего касания пламенем стенок сосуда.
4.4. Влияние начальной герметизацииаппарата
Для полых аппаратов объемом до 200 м3 с начально открытымисбросными сечениями, например люками, значение фактора турбулизации непревышает c=2,для аппаратов с начально закрытыми сбросными сечениями (мембраны,разгерметизаторы и т.д.) не превышает c=8.
4.5. Влияние степени негерметичностиаппарата F/V2/3
Увеличение степени негерметичности F/V2/3в 10 раз (от 0,025 до 0,25), что равнозначно увеличению площади разгерметизациив 10 раз для одного и того же аппарата, приводит к возрастанию факторатурбулизации в 2 раза (для аппаратов объемом около 10 м3 с c=2,5 до c=5).
4.6. Влияние максимально допустимогодавления взрыва в аппарате (коррелирует с влиянием давления разгерметизации)
При увеличении относительного максимально допустимого давления взрывавнутри оборудования (прочности оборудования) в диапазоне 1<pm£2значение фактора турбулизации не изменяется. С ростом относительногомаксимально допустимого давления взрыва выше pm>2 (до pm=pe) для начальнооткрытых сбросных сечений значение фактора турбулизации снижается с 2 до 0,8,для начально закрытых - с 8 до 2. Этот результат согласуется с физическимипредставлениями о том, что при большем значении давления взрыва, котороевыдерживает аппарат, меньше площадь сбросного сечения, а следовательно, фронтпламени подвергается меньшему возмущающему воздействию.
4.7. Влияние условий истечения
Если истечение горючей смеси и продуктов сгорания осуществляется черезсбросный трубопровод, расположенный за разгерметизирующим элементом и имеющийдиаметр, приблизительно равный диаметру сбросного отверстия, то значение факторатурбулизации вне зависимости от объема сосуда (до 15 м3) принимают c=4(для сосудов со степенью негерметичности F/V2/3около 0,015¸0,035,когда оснащение сосудов сбросным трубопроводом оправдано по соображениямразумного соотношения характерных размеров сосуда и трубопровода) при условии pm<2.
При оснащении системы разгерметизации оросителем или другим аналогичнымустройством, установленным в трубопроводе непосредственно за разгерметизаторомдля подачи хладагента в истекающую из аппарата смесь, значение факторатурбулизации принимают таким же, как при истечении непосредственно из аппаратав атмосферу. Эффект интенсификации горения в сосуде при сбpoce газов через трубопровод исчезаетпри увеличении давления разгерметизации до 0,2 МПа при начальном давлении 0,1МПа.
4.8. Влияние условий разгерметизации
«Мгновенное» вскрытие сбросного сечения повышает вероятностьвозникновения вибрационного горения внутри аппарата. Амплитуда в акустическойволне вибрационного горения может достигать значений ±0,1 МПа. Перемешиваниесмеси, например вентилятором, в процессе развития взрыва приводит к уменьшениюамплитуды колебаний давления.
Плавное вскрытие сбросного отверстия, например с помощью малоинерционныхкрышек, снижает значение фактора турбулизации. В тех случаях, когда времясрабатывания разгерметизирующего устройства соизмеримо с временем горения смесив сосуде, при определении безопасной площади разгерметизации необходимоучитывать динамику вскрытия сбросного отверстия.
4.9. Влияние препятствий итурбулизаторов
Вопрос о влиянии различных препятствий на пути распространения пламени итурбулентности в смеси перед фронтом пламени является одним из определяющих ввыборе значения фактора турбулизации. Наиболее правильным методом определениязначения фактора турбулизации при наличии внутри аппарата сложных препятствий итурбулизованной смеси можно считать метод, основанный на сравнении расчетной иэкспериментальной динамики (зависимость давление - время) взрыва.
Ускорение пламени на специальных препятствиях достигает значений c»15 иболее уже в сосудах объемом около 10 м3.
Для углеводородовоздушных смесей турбулентное распространение пламени савтономной генерацией турбулентности внутри зоны горения характеризуетсямаксимальным значением фактора турбулизации c=3¸4.
При искусственно создаваемой изотропной турбулентности максимальноезначение фактора турбулизации при точечном зажигании не превышает c=4¸6.Дальнейшее увеличение степени изотропной турбулентности приводит к гашениюпламени.
Для сосудов со встроенными и подвижными элементами, влияние которых назначение фактора турбулизации не может быть в настоящее время оценено, напримерс использованием литературных данных или экспертным методом, выбор факторатурбулизации должен быть ограничен снизу значением c=8.
4.10. Коэффициент расхода m
Коэффициент расхода m является эмпирическим коэффициентом, учитывающимвлияние реальных условий истечения на величину расхода газа, определенную поизвестным теоретическим модельным соотношениям.
Для предохранительных мембран и разгерметизирующих устройств снепосредственным сбросом продукта взрыва в атмосферу, как правило, m=0,6¸1.При наличии сбросных трубопроводов m=0,4¸1 (включая случай с подачейхладагента в трубопровод непосредственно за мембраной).
Значение коэффициента расхода возрастает в указанном диапазоне сувеличением скорости истечения и температуры истекающего газа, с ростам факторатурбулизации.
Произведение коэффициента расхода на площадь разгерметизации mF представляет собой эффективную площадь разгерметизации.
4.11. Аналог принципа ЛеШателье-Брауна
Согласно критериальному соотношению (158) относительноеизбыточное давление взрыва
Теоретические и экспериментальные исследования процесса сгорания газа в негерметичном сосуде позволилиустановить аналог принципа Ле Шателье-Брауна: газодинамика горения газа внегерметичном сосуде реагирует на внешнее изменение условий протекания процессав том направлении, при котором эффект внешнего воздействия ослабляется. Так,увеличение с целью снизить давление взрыва площади разгерметизации F в 10 раз в сосуде объемом порядка 10 м3сопровождается увеличением фактора турбулизации c в 2раза. Физическое объяснение наблюдаемого явления достаточно простое: сувеличением площади разгерметизации возрастает возмущающее воздействие на фронтпламени.
Избыточное давление взрыва коррелирует согласно критериальномусоотношению (162) с отношением (c/m)2,а не просто c.Уменьшение размера ячейки турбулизирующей решетки, приводящее к возрастаниюфактора турбулизации в 1,75 раза (с 8 до 14),сопровождается существенно меньшим увеличением отношения c/m- лишь в 1,1 раза. Сказанное необходимо учитывать при значениях факторатурбулизации c³5.
5. ОПРЕДЕЛЕНИЕ НОРМАЛЬНОЙ СКОРОСТИРАСПРОСТРАНЕНИЯ ПЛАМЕНИ И ТЕРМОДИНАМИЧЕСКИХ ПАРАМЕТРОВ
5.1. Нормальная скорость характеризует реакционную способность горючихгазовых смесей при фронтальных режимах горения. Наиболее перспективным являетсяэкспериментально-расчетный метод оптимизации,позволяющий oпpедeлять нормальную скорость в бомбепостоянного объема в широком диапазоне температур и давлений. Метод изложен в ГОСТ 12.1.044.
Входящее в критериальные соотношения (158)и (159) в составе комплекса W значение нормальной скорости распространения пламени Suiпри давлении и температуре, соответствующих началу развития взрыва, может быть определеноэкспериментально на аттестованном оборудовании или взято из научно-техническойлитературы, прошедшей оценку достоверности приведенных в ней данных. Еслиданные о нормальной скорости при характерных для технологического процессадавлении Р и температуре Т отсутствуют, то в ограниченномдиапазоне экстраполяции можно воспользоваться для оценки формулой
где Suo - известное значение нормальнойскорости при давлении Рo и температуре Тo,
n и m -соответственно барический и температурный показатели.
В диапазоне давлений 0,04¸1,00 МПа и температур 293¸500 К длястехиометрических смесей метана, пропана, гексана, гептана, ацетона,изопропанола и бензола с воздухом значение барического показателя с ростомдавления и температуры свежей смеси увеличивается и лежит в интервале - 0,5¸0,2,а значение температурного показателя уменьшается и находится в диапазоне 3,1¸0,6.При значениях давления и температуры, близких к атмосферным, значениябарического и температурного показателя для горючих газопаровоздушных смесеймогут быть приняты в первом приближении соответственно п=-0,5 и m=2,0.
5.2. Термодинамические параметры Еi, pe, gb определяют путемтермодинамического расчета, например на компьютерах, по известным методикам.
Значение коэффициента расширения по определению
![]()
где Tbiи Mbi- соответственно температура и молекулярная масса продуктов сгорания горючейсмеси при начальных давлении и температуре. Молекулярную массу смеси идеальных газов определяют по формуле
(164)
где Mjи nj- соответственно молекулярная масса и молярная доля j-гокомпонента смеси.
Значения коэффициента расширения могут быть такжеопределены из приближенного уравнения
В табл. 16 приведенырассчитанные на компьютере значения термодинамических параметров для некоторых стехиометрических газопаровых смесей впредположении, что продукты сгорания состоят из следующих 19 компонентов вгазовой фазе: Н2, Н2O, CO2, N2, Аr,С, Н, О, N, CO, СН4, HCN, 02, O3, ОН, NO, NO2, NH3, HNO3. Стехиометрическую концентрацию горючего jcт в воздухе среднейвлажности определяли по известной формуле
(166)
где b - стехиометрический коэффициент, равный количествумолекул кислорода, необходимых для сгорания молекулы горючего.
Результаты расчета значений pе,gb, Еi, Тbi иэкспериментальные значения нормальной скорости Suдля некоторых стехиометрических газопаровых смесей при начальном давлении 0,1МПа и температуре 298,15 К
| Горючее | Формула | jст, % об. | pе | gb | Ei | Тbi | Su, м×с-1 |
| Метан | СН4 | 9,355 | 8,71 | 1,25 | 7,44 | 2204 | 0,305 |
| Пропан | C3H8 | 3,964 | 9,23 | 1,25 | 7,90 | 2245 | 0,32 |
| н-Гексан | С6Н14 | 2,126 | 9,38 | 1,25 | 8,03 | 2252 | 0,29 |
| н-Гептан | С7Н16 | 1,842 | 9,40 | 1,25 | 8,05 | 2253 | 0,295 |
| Ацетон | C3H6O | 4,907 | 9,28 | 1,25 | 7,96 | 2242 | 0,315 |
| Изопропанол | C3H8O | 4,386 | 9,34 | 1,24 | 8,00 | 2220 | 0,295 |
| Бензол | C6H6 | 2,679 | 9,30 | 1,25 | 7,99 | 2321 | 0,36 |
Для многокомпонентных смесей и смесей, проведение расчетовпо которым по тем или иным причинам вызывает трудности, определениемаксимального относительного давления взрыва pе, аследовательно, и коэффициента расширения Ei по формуле (165) проводят по соответствующей методикеГОСТ 12.1.044.
6.ВЛИЯНИЕ СБРОСНЫХ ТРУБОПРОВОДОВ
6.1. Сбросные трубопроводы используются для отвода продуктов горения в безопасное место,например в приемную буферную емкость или за территорию цеха, что позволяетсущественно снизить вероятность возникновения внутрипроизводственных помещений вторичных пожаров и взрывов, ущерб от которых значительно выше,чем потери от первичных взрывов.
6.2. Наличие сбросного трубопровода может приводить к значительному (напорядок) увеличению избыточного давления взрыва всравнении со случаем разгерметизации аппарата непосредственнов атмосферу. Характерное значение факторатурбулизации при использовании сбросного трубопроводас диаметром, равным диаметру предохранительной мембраны, и без орошенияистекающих газов хладагентом c=4 вне зависимости от объема защищаемого пологооборудования с нетурбулизованной cмесью.
Прочностные характеристики сбросного трубопровода должны быть не нижесоответствующих характеристик защищаемого аппарата.
6.3. При проектировании систем сброса газообразных продуктов в случаевзрыва газопаровых смесей внутри технологического оборудования необходимопринимать во внимание возможность интенсивного догорания эвакуируемой смеси всбросном трубопроводе, являющегося причиной турбулизации горения внутризащищаемого объема.
Наилучший способ ликвидировать эффект увеличения давления взрыва приналичии в системе противовзрывной защиты технологического оборудования методомразгерметизации сбросного трубопровода - подача хладагентас интенсивностью (0,1¸0,5) 10-2 м3×м-2×с-1в поперечное сечение трубопровода непосредственно за мембраной до еесрабатывания или одновременно с ним. При наличии орошения в трубопроводе ииспользовании приемной емкости, находящейся под разрешением, длина трубопровода(по результатам экспериментов до 30 м) не оказываетзаметного влияния на максимальное давление взрыва.
Увеличениедавления разгерметизациидо ~0,2МПа (при начальном давлении технологической среды0,1 МПа) также приводит к исчезновению эффекта интенсификации взрыва.
Увеличение диаметра сбросного трубопровода относительно диаметрасбросного сечения способствует снижению воздействия данного эффекта интенсификациивзрыва.
7. ПРИМЕРЫ РАСЧЕТОВ
Пример 1. Полыйтехнологический аппарат объемом 12 м3рассчитан на максимальное избыточное давление 0,2 МПа (абсолютное давление 0,3 МПа) и предназначен для работы при атмосферном давлении ссодержащей ацетон реакционной массой. Аппарат имеет рубашку обогрева (80 °С). Необходимоопределить безопасную площадь разгерметизации.
Нормальная скорость распространения пламени наиболееопасной околостехиометрической ацетоно-воздушнойсмеси при атмосферном давлении и температуре (298 К) составляет 0,32 м×с-1.Следовательно, при температуре в аппарате 80 °С (353 К) максимальноезначение нормальной скорости распространения пламени в соответствии с формулой (163)
![]()
Для стехиометрической ацетоно-воздушной смеси pе=9,28;Еi=7,96; Мi=(58x0,05+28х0,95) кг×кмoль-1=29,5кг×кмоль-1.Поскольку pm=0,3 МПа/0,1 МПа=3 превышает значение 2, то длявычисления безопасной площади разгерметизации воспользуемся критериальнымсоотношением (159). Выражение длякомплекса подобия W в соответствии с формулой (160) и определенными значениями Suiи Mi может быть записано в виде

где F намеряют в м2.
Следовательно, критериальное соотношение (159) относительно F можно записать в виде
![]()
С увеличением степени негерметичности сосуда объемом около 10 м3F/V2/3 от 0,025 до 0,25значение фактора турбулизации возрастает от 2,5 до5. Предположим, что c=2,5 при m=1.При этом минимальная площадь разгерметизации F=0,175 м2, азначит F/V2/3=0,03. Последнееподтверждает, что значение фактора турбулизациивыбрано правильно. Действительно, если бы мыпредположили, что c=5,то получили бы слишком низкое для такой степени турбулизациизначение F/V2/3=0,06 (вместо 0,25).Итак, безопасная площадь разгерметизации составляет в данном случае 0,175 м2,что равнозначно сбросному отверстию диметром 0,47 м.
Пример 2. Сосуд объемом 4 м3 без встроенных внутрь элементов дляхранения бензола, рассчитанный на максимальное абсолютное давление 0,2 МПа, необходимооснастить надежной системой сброса давления взрыва с отводом продуктов взрывапо трубопроводу в безопасное место.
Для бензоло-воздушной смеси стехиометрического состава при атмосферныхусловиях Sui=0,36 м×c-1; Ei=7,99; Мi=(78×0,027+28×0,973) кг×кмоль-1=29,35кг×кмоль-1.Для систем разгерметизации со сбросным трубопроводам без орошения истекающих продуктовхладагентом вне зависимости от объема сосуда c=4. Так как pm=0,2 МПа/1 МПа=2, то расчет площади разгерметизации проводим по критериальному соотношению (158). Выбрав вкачестве значения коэффициента расхода m=0,4, получаем выражение

т.е. диаметрсбросного трубопровода должен составлять около 0,7 м, что слишком много длясосуда, эквивалентный диаметр которого (диаметрсферы объемом 4 м3)1,97м.
Поэтому система сброса давления, включая трубопровод, должна быть снабжена системой орошения. При этом можетбыть принято c=1,5, а значит, какнетрудно вычислить, диаметрсбросного трубопровода будет равен 0,4 м, чтовполне приемлемо для данного сосуда, рассчитанного на достаточно низкоедавление.
Пример 3. Реактор вместимостью 6 м3, в котором возможнообразование изопропаноло-воздушной стехиометрическойсмеси при давлении 0,2 МПа, содержит сложные вращающиеся детали. Требуется определить безопасную площадь разгерметизации при условии, что реактор рассчитан на избыточное давление 0,4 МПа (абсолютное давление 0,5 МПа).
Так как pm=0,5МПа/0,2 МПа=2,5 больше 2, то расчет ведем по формуле (159). Для стехиометрической изопропаноло-воздушной смеси Mi=(60×0,044+28×0,956)кг×кмоль-1=29,4кг×кмоль-1;Sui=0,295(0,2/0,1)-0,5=0,21м×с-1; pе=9,3;Еi=8.0.Поскольку влияние встроенных деталей на турбулизациюоднозначно неизвестно и объем реактора относительно невелик, выбираем значение c=8.При значении коэффициента расхода m=l имеем

Отсюда нетрудно вычислить, что диаметр предохранительной мембраныдолжен быть равен 0,5 м.
Пример 4 (обратная задача). В лабораторном сосуде объемом 0,01 м3, рассчитанномна давление 2,0 МПа иимеющем сбросное отверстие для установки предохранительной мембраны диаметром2,5 см, проводят исследования по определению нормальных скоростейраспространения пламени для стехиометрических метано-воздушных смесей при различных давлениях. Требуетсяопределить, до какогомаксимального начальногодавления можно подавать в сосуд горючую смесь,чтобы после ее воспламенения в центре сосуда давление взрыва не превысило допустимого давления 2,0МПа.
Так как с ростом давления нормальная скорость падает, то с некоторымзапасом в качестве Sui выбираем значение 0,305 м×с-1,полученное для атмосферного давления. Для стехиометрической метано-воздушнойсмеси Mi=(16×0,094+20×0,906)кг×кмоль-1=26,9кг×кмоль-1;Еi=7,4; pe=8,7. Значения фактора турбулизации и коэффициента расходамогут быть приняты соответственно c=1 и m=0,8.
Искомое значение начального давления взрывав сосуде входит взначение pm=Pm/Pi, причем Pm=2,0 МПа всоответствии с условиями задачи. Записанное относительно pm критериальноесоотношение (159) принимает вид

аследовательно, максимально допустимое начальное давлениегорючей смеси в сосуде

т.е. недолжно превышать 0,6 МПа».
(Введено дополнительно, Изм. № 1).
ИНФОРМАЦИОННЫЕ ДАННЫЕ
1. РАЗРАБОТАНМинистерствомвнутренних дел СССР, Министерством химической промышленности СССР
РАЗРАБОТЧИКИ
А.К. Микеев, канд. эконом. наук;Д.И. Юрченко; В.М. Гаврилей, канд. техн. наук; А.С. Турков; А.Я. Корольченко,д-р техн.наук; Г.И. Смелков, д-р техн. наук; А.Н. Баратов, д-р техн. наук; И.С. Молчадский, канд. техн. наук; А.В. Матюшин, канд.техн. наук; В.Н. Есин, канд. техн. наук; С.А.Никонов, канд. техн. наук; В.Н. Тарасов; А.Н. Кухто,канд. техн. наук; В.Н. Тимошенко, канд. техн. наук; Ю.С.Зотов, канд. техн. наук; А.К. Бурканов, канд.эконом. наук; Э.Г. Сон; А.В. Герасимов; М.С.Васильев; И.П. Сафронов;В.Н. Парамонов; Н.В. Белкин;Е.Ф. Захарова; Г.Т.Земский, канд. хим. наук; В.Н. Битюцкий, канд.техн. наук;B.И. Горшков, д-р техн.наук
2. УТВЕРЖДЕНИ ВВЕДЕН В ДЕЙСТВИЕ ПостановлениемГосударственного комитета СССР по управлению качеством продукции и стандартамот 14.06.91 № 875
3. ВЗАМЕН ГОСТ 12.1.004-85
4. ССЫЛОЧНЫЕ НОРМАТИВНО-ТЕХНИЧЕСКИЕ ДОКУМЕНТЫ
| Номер пункта, подпункта, раздела, приложения | |
| ГОСТ 2.106-68 | |
| ГОСТ 2.118-73 | Приложение 3 |
| Приложение 3 | |
| ГОСТ 2.120-73 | Приложение 3 |
| ГОСТ 12.0.003-74 | 1.3 |
| ГОСТ 12.1.010-76 | 1.5 |
| 2.3 | |
| Приложение 1 | |
| ГОСТ 12.4.009-83 | Разд. 4 |
| ГОСТ 15.001-88 | |
| Приложение 7 | |
5. ПЕРЕИЗДАНИЕ (январь 1996 г.) с Изменением № 1,утвержденным в октябре 1993 г. (ИУС 1-95)